Stable: SMath Studio 0.99.6622 (17 February 2018) - Сообщения
SMath Studio
Компактная, но мощная математическая программа с графическим редактором и полной поддержкой единиц измерения.
Предоставляет множество вычислительных возможностей и обладает богатым пользовательским интерфейсом, переведённым примерно на 40 различных языков. К тому же, в приложение встроен подробный математический справочник.
Программа может быть легко дополнена новой функциональностью основываясь на ваших требованиях. Встроенный менеджер расширений позволяет получить доступ к сотням официальных и сторонних ресурсов следующих типов: примеры использования, дополнения, приложения на основе SMath Viewer, заготовки, языковые переводы интерфейса, интерактивные книги, справочники и пособия.
Скачать
SMathStudioDesktop.0_99_6622.Mono.tar.gz (1,26 МиБ) скачан 3505 раз(а).
SMathStudioDesktop.0_99_6622.Setup.msi (2,13 МиБ) скачан 20768 раз(а).
- Desktop (Windows):
Framework: .NET Framework 2.0 or higher - Desktop (Linux):
Framework: Mono 2.0 (libmono-winforms-2.0-cil package) or higher
- [ARA] Arabic / العربي
- [BEL] Belarusian / Беларуская
- [BUL] Bulgarian / Български
- [CAT] Catalan / Català
- [CHS] Chinese (Simplified) / 简体中文
- [CHT] Chinese (Traditional) / 簡體中文
- [CPP] Portuguese (Brazil) / Brazil (Português)
- [CZE] Czech / Čeština
- [DAN] Danish / Dansk
- [DUT] Dutch / Nederlands
- [ENG] English / English
- [FAS] Persian / فارسی
- [FIN] Finnish / Suomi
- [FRE] French / Français
- [GER] German / Deutsch
- [GRE] Greek / Ελληνικά
- [HEB] Hebrew / עברית
- [HUN] Hungarian / Magyar
- [IND] Indonesian / Bahasa Indonesia
- [ITA] Italian / Italiano
- [JPN] Japanese / 日本語
- [KOR] Korean / 한국어
- [LAV] Latvian / Latviešu
- [LTH] Lithuanian / Lietuvių
- [NOR] Norwegian / Norsk
- [POL] Polish / Polski
- [POR] Portuguese / Português
- [RON] Romanian / Română
- [RUS] Russian / Русский
- [SCC] Serbian (Latin) / Srpski
- [SCR] Croatian / Hrvatski
- [SLK] Slovak / Slovenčina
- [SPA] Spanish / Español
- [SRP] Serbian (Cyrillic) / Српски
- [SWE] Swedish / Svenska
- [TUR] Turkish / Türkçe
- [UKR] Ukrainian / Українська
SMath Studio tutorial by Bernard Liengme.
SMathPrimer.pdf (Date: 11.11.2011. File size: 2.06MB) - to open in Adobe Acrobat Reader
Introduction of the use of SMath Studio by Gilberto E. Urroz, Ph.D., P.E.
SMathStudio.0_85.Article.Eng.pdf (Date: 23.09.2009. File size: 828.96KB) - to open in Adobe Acrobat Reader
SMathStudio.0_85.IOFiles.Article.Eng.pdf (Date: 27.09.2009. File size: 453.24KB) - to open in Adobe Acrobat Reader
SMathStudio.0_85.NumericFunctions.Article.Eng.pdf (Date: 18.10.2009. File size: 622.45KB) - to open in Adobe Acrobat Reader
SMathStudio.0_85.Programming.Article.Eng.pdf (Date: 18.10.2009. File size: 411.74KB) - to open in Adobe Acrobat Reader
SMath Studio icons (
SMathStudio.Icons.zip (Date: 12.04.2010. Size: 63.74KB)
Best regards.
errors_behavior_1.sm (4,43 КиБ) скачан 1654 раз(а).
Best regards.
Very surprised that an error popped up in the latest build. Maybe also the one before, not sure.

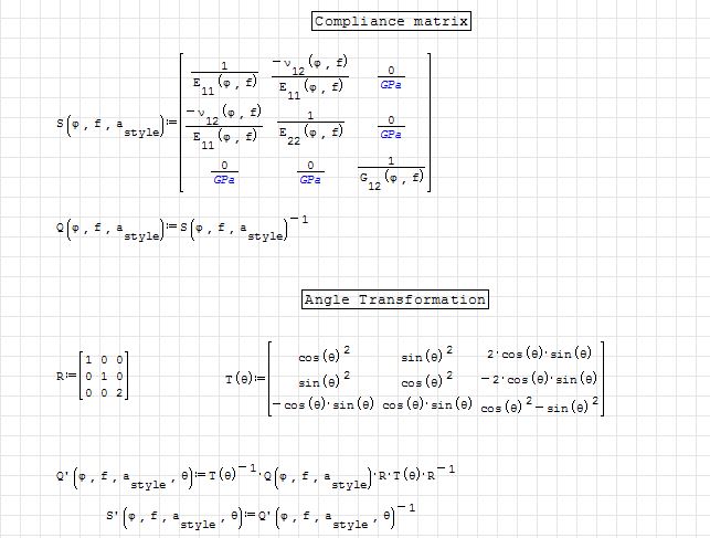
For your info, here is the S' definition
It seems that somehow these last two builds cannot find a value of the matrix coordinates indicated. It worked fine in .6484 from October, which I have gone back to. I can send you the file, but I would prefer to do so privately.
Love this program
Doug Schickler
WroteVery surprised that an error popped up in the latest build. Maybe also the one before, not sure.
Please send a worksheet to me so I could reproduce and fix this issue. E-mail is specifield into About dialog of SMath Studio.
Thank you for the report!
WroteIt seems that somehow these last two builds cannot find a value of the matrix coordinates indicated.It worked fine in .6484 from October, which I have gone back to.I can send you the file, but I would prefer to do so privately.
That it worked 6484, I doubt as it shows incorrectly dressed.
If you had a result => most probably erroneous.
On the setup "rotation*matrix", Smath [4356, 6179] displays an error message.
The rule Matrix*Rotation is universal, not commutative.
UnknownConfidential.sm (202,5 КиБ) скачан 1614 раз(а).
Rotate Breather [4 Orientations].sm (1001,04 КиБ) скачан 1443 раз(а).
WroteI have noticed that if I open a .sm file which has file properties set to "read only", the program will crash if I press the "save" button. It would be nice if it instead prompted to "save-as" in that scenario, or just notify the user that the file is read only so the user can then perform a save-as instead. This is on Windows 7. Thanks.
Already fixed in SS 0.98.6626 and later nightly builds, will be part of next stable release.
- Новые сообщения
- Нет новых сообщений