Stable: SMath Studio 0.99.6622 (17 February 2018) - Messages
SMath Studio
Tiny, but powerful mathematical program with WYSIWYG editor and complete units of measurements support.
It provides numerous computing features and rich user interface translated into about 40 different languages. Application also contains integrated mathematical reference book.
Application can be easily extended based on your needs. Built-in Extensions Manager tool allows to get access to hundreds official and third-party resources of the following types: usage examples, plug-ins, SMath Viewer based applications, snippets, interface translations, interactive books, handbooks and tutorials.
List of changes (between 0.99.6617 and 0.99.6622 versions)
Improvements
- SS-144: Mode to insert special symbols into equation implemented using Ctrl+K (Ctrl+Shift+K is also supported);
- Added possibility to work with unicode symbols using built-in functions;
- Units added: Fr (statC), Fd (faraday), nmi, au, ly, pc, mmHg, inHg, month, week;
- Functionality to break equation on two lines using Ctrl+Enter implemented (limitations: two lines supported only; cannot be applied to the answer; supports +, - and * operators only; calculation result still shown next to the first line of the equation);
- Clicking at the bottom of the canvas under the last page adds a new page into the document;
- Double-click on inactive page zone (specific to Pages layout mode) removes it by shifting location of the Region caused inactive zone to appear.
Corrections
- Rendering background grid on print out fixed when Grid is turned off in Worksheet editor;
- Multiple worksheet rendering/interaction issues fixed;
- Cursor location fixed when set after space char in equations text entries;
- Fixed situations when collapse/expand button on Area didn't work on click;
- Stability of the Worksheet export (f.e. to PDF) improved;
- Moving of mouse cursor over the region corrected for Pages view layout;
- Exception on Print dialog close within SMath Viewer fixed;
- Printing from SMath Viewer restored;
- Values of the following units corrected: Gi, yr and month;
- Error displaying fixed for the focused evaluable Regions in Pages document mode;
- Broken values of the vectors used as iterators in vectors definitions fixed in case of error happened during calculation;
- Error messages corrected on vector/matrix element definition;
- Error is shown now if 0 is used as index to define a vector/matrix element;
- Work of vectorization operator restored for some cases when working with matrices;
- Issues with hidden worksheet cursor in Pages document view fixed;
- SS-3502: Region loses focus on click outside of bounds of the page;
- Critical error fixed happened on breaking equation contains unary minus operator;
- Drawing grid on print out starting from second page is fixed;
- Unwanted scrollbar change for large documents when region location significantly changed from the current cursor location fixed;
- Jumping between Regions using Tab/Shift+Tab or Up/Down keyboard buttons fixed when Worksheet zoom differs from 100%;
- Selection of Regions by mouse using selection rectangle improved for Pages layout mode;
- SS-3501: Issues related to cursor visibility on complex Worksheets fixed;
- Incorrect Worksheet cursor location when selecting regions by Ctrl+Click fixed;
- Calculation error happened during definition of the variable/function clears previous value of this variable/function if it is available;
- Switching document layout fixed when worksheet shown in split window mode;
- Critical issue happened on using F8 (multiple rename) inside the equation just opened from file fixed;
- Image FileType plug-in updated to support new Pages view; rendering issues happens when Region contains description on top or at right fixed.
Miscellaneous
- Interface translations updated;
- Refactoring;
- Rendering of el() function slightly improved;
- Performance improved for opening large worksheets from file.
Download
SMathStudioDesktop.0_99_6622.Mono.tar.gz (1.26 MiB) downloaded 3210 time(s).
SMathStudioDesktop.0_99_6622.Setup.msi (2.13 MiB) downloaded 20219 time(s).
- Desktop (Windows):
Framework: .NET Framework 2.0 or higher - Desktop (Linux):
Framework: Mono 2.0 (libmono-winforms-2.0-cil package) or higher
- [ARA] Arabic / العربي
- [BEL] Belarusian / Беларуская
- [BUL] Bulgarian / Български
- [CAT] Catalan / Català
- [CHS] Chinese (Simplified) / 简体中文
- [CHT] Chinese (Traditional) / 簡體中文
- [CPP] Portuguese (Brazil) / Brazil (Português)
- [CZE] Czech / Čeština
- [DAN] Danish / Dansk
- [DUT] Dutch / Nederlands
- [ENG] English / English
- [FAS] Persian / فارسی
- [FIN] Finnish / Suomi
- [FRE] French / Français
- [GER] German / Deutsch
- [GRE] Greek / Ελληνικά
- [HEB] Hebrew / עברית
- [HUN] Hungarian / Magyar
- [IND] Indonesian / Bahasa Indonesia
- [ITA] Italian / Italiano
- [JPN] Japanese / 日本語
- [KOR] Korean / 한국어
- [LAV] Latvian / Latviešu
- [LTH] Lithuanian / Lietuvių
- [NOR] Norwegian / Norsk
- [POL] Polish / Polski
- [POR] Portuguese / Português
- [RON] Romanian / Română
- [RUS] Russian / Русский
- [SCC] Serbian (Latin) / Srpski
- [SCR] Croatian / Hrvatski
- [SLK] Slovak / Slovenčina
- [SPA] Spanish / Español
- [SRP] Serbian (Cyrillic) / Српски
- [SWE] Swedish / Svenska
- [TUR] Turkish / Türkçe
- [UKR] Ukrainian / Українська
SMath Studio tutorial by Bernard Liengme.
SMathPrimer.pdf (Date: 11.11.2011. File size: 2.06MB) - to open in Adobe Acrobat Reader
Introduction of the use of SMath Studio by Gilberto E. Urroz, Ph.D., P.E.
SMathStudio.0_85.Article.Eng.pdf (Date: 23.09.2009. File size: 828.96KB) - to open in Adobe Acrobat Reader
SMathStudio.0_85.IOFiles.Article.Eng.pdf (Date: 27.09.2009. File size: 453.24KB) - to open in Adobe Acrobat Reader
SMathStudio.0_85.NumericFunctions.Article.Eng.pdf (Date: 18.10.2009. File size: 622.45KB) - to open in Adobe Acrobat Reader
SMathStudio.0_85.Programming.Article.Eng.pdf (Date: 18.10.2009. File size: 411.74KB) - to open in Adobe Acrobat Reader
SMath Studio icons (
SMathStudio.Icons.zip (Date: 12.04.2010. Size: 63.74KB)
Best regards.
errors_behavior_1.sm (4.43 KiB) downloaded 1241 time(s).
Best regards.
Very surprised that an error popped up in the latest build. Maybe also the one before, not sure.

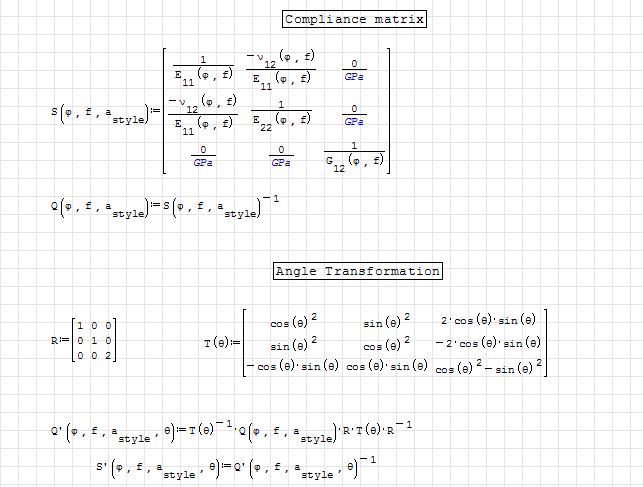
For your info, here is the S' definition
It seems that somehow these last two builds cannot find a value of the matrix coordinates indicated. It worked fine in .6484 from October, which I have gone back to. I can send you the file, but I would prefer to do so privately.
Love this program
Doug Schickler
WroteVery surprised that an error popped up in the latest build. Maybe also the one before, not sure.
Please send a worksheet to me so I could reproduce and fix this issue. E-mail is specifield into About dialog of SMath Studio.
Thank you for the report!
WroteIt seems that somehow these last two builds cannot find a value of the matrix coordinates indicated.It worked fine in .6484 from October, which I have gone back to.I can send you the file, but I would prefer to do so privately.
That it worked 6484, I doubt as it shows incorrectly dressed.
If you had a result => most probably erroneous.
On the setup "rotation*matrix", Smath [4356, 6179] displays an error message.
The rule Matrix*Rotation is universal, not commutative.
UnknownConfidential.sm (202.5 KiB) downloaded 1206 time(s).
Rotate Breather [4 Orientations].sm (1001.04 KiB) downloaded 1064 time(s).
WroteI have noticed that if I open a .sm file which has file properties set to "read only", the program will crash if I press the "save" button. It would be nice if it instead prompted to "save-as" in that scenario, or just notify the user that the file is read only so the user can then perform a save-as instead. This is on Windows 7. Thanks.
Already fixed in SS 0.98.6626 and later nightly builds, will be part of next stable release.
- New Posts
- No New Posts