1 страниц (5 вхождений)
Solve() Formatting Answer - The Output of Solve() function gives The Output of Solve() function gives division of 2 large number - Сообщения
325 сообщений из 2 052 понравились и 1 не понравились пользователям.
Группа: Moderator
Hello,
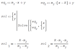
The result is in so called symbolic representation. You can get the numercial answer as well. Just see this is from Interactive book by Martin Kraska (function Solve() in the Maxima plugin). You need Assign() function as well.

Regards,
Radovan
The result is in so called symbolic representation. You can get the numercial answer as well. Just see this is from Interactive book by Martin Kraska (function Solve() in the Maxima plugin). You need Assign() function as well.
Regards,
Radovan
When Sisyphus climbed to the top of a hill, they said: "Wrong boulder!"
1 пользователям понравился этот пост
Davide Carpi 25.01.2019 05:33:00
I would like to thank you all for support.....
I got the answer from from Interactive book by Martin Kraska,
Again Thanks to all ...
I got the answer from from Interactive book by Martin Kraska,
Again Thanks to all ...
1 страниц (5 вхождений)
- Новые сообщения
- Нет новых сообщений
