Solve() Formatting Answer

Solve() Formatting Answer - The Output of Solve() function gives The Output of Solve() function gives division of 2 large number - Messages

#1 Posted: 1/24/2019 10:51:33 PM
Munawar Jakhro

Munawar Jakhro

0 likes in 2 posts.

Group: User

Hi,

I am trying to solve 2 eq with 2 variable using Solve() function, the output is division of 2 large numbers which is unusable,

I have tried to find the answer on the forum but cant seem to find anything...

How can I avoid this,

Capture1234.JPG


Thanks,
#2 Posted: 1/25/2019 3:56:16 AM
Radovan Omorjan

Radovan Omorjan

325 likes and 1 dislikes in 2,052 posts.

Group: Moderator

Hello,

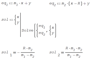
The result is in so called symbolic representation. You can get the numercial answer as well. Just see this is from Interactive book by Martin Kraska (function Solve() in the Maxima plugin). You need Assign() function as well.

Solve.PNG

Regards,
Radovan
When Sisyphus climbed to the top of a hill, they said: "Wrong boulder!"
1 users liked this post
Davide Carpi 1/25/2019 5:33:00 AM
#3 Posted: 1/25/2019 3:05:23 PM
Alvaro

Alvaro

1,078 likes in 1,750 posts.

Group: User

Hi. The use of assign for access to the solutions, as Radovan shows, it's useful if you want the variable names with the solution values. But if not, you can use "at" function, and preserve the variables clean.

Best regards.

Alvaro.

Clipboard05.gif
1 users liked this post
frapuano 1/30/2019 8:04:00 AM
#4 Posted: 1/29/2019 8:50:01 PM
Munawar Jakhro

Munawar Jakhro

0 likes in 2 posts.

Group: User

I would like to thank you all for support.....


I got the answer from from Interactive book by Martin Kraska,


Again Thanks to all ...
#5 Posted: 1/30/2019 10:23:00 AM
Jean Giraud

Jean Giraud

983 likes in 6,866 posts.

Group: User

Wrote

I would like to thank you all for support


You can solve the Engineer way, tracking the upstream dependent(s).

SolveEng.PNG

  • New Posts
  • No New Posts