1 страниц (7 вхождений)
How to get real roort in symbolic? - Сообщения
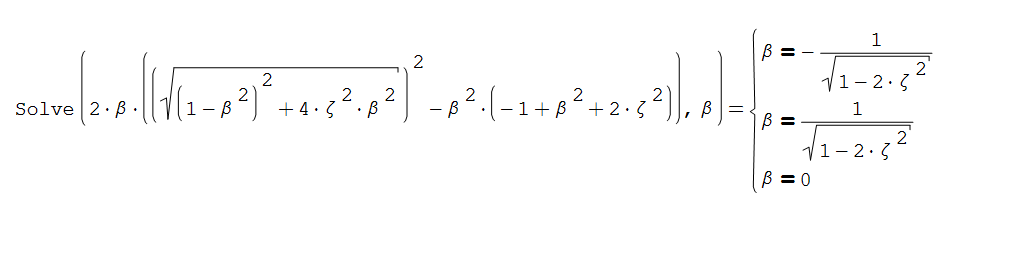
I want to get the real root in symbolic (in red frame) , but solve and maple solve always give me imaginary root (in blue frame).
Worksheet3.sm (14,28 КиБ) скачан 511 раз(а).
Worksheet3.sm (14,28 КиБ) скачан 511 раз(а).

Отредактировано 01.09.2025 14:15:20
@Oscar Campo
I can't get answer as you show in the pic. Please see the attached.
real root.sm (11,49 КиБ) скачан 179 раз(а).
I can't get answer as you show in the pic. Please see the attached.
real root.sm (11,49 КиБ) скачан 179 раз(а).
1 страниц (7 вхождений)
- Новые сообщения
- Нет новых сообщений






