error in a system of equations

error in a system of equations - impossible to get or set an item because it does not exist - Сообщения

#1 Опубликовано: 05.11.2019 14:02:37
Ale16595

Ale16595

0 сообщений из 35 понравились пользователям.

Группа: User

Hi to everyone
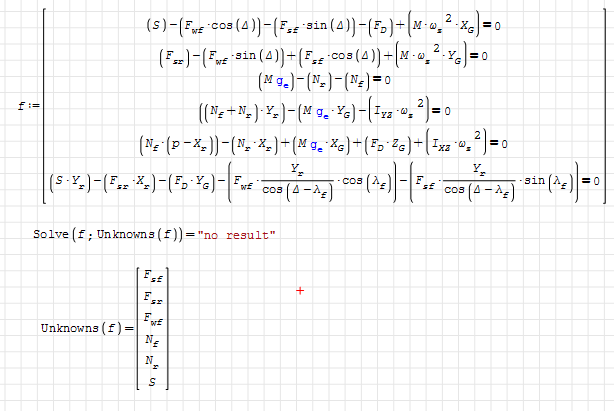
I am having difficulty solving a linear system like in the picture.
the error says:"impossible to get or set an item because it does not exist"
does anyone know where the error can be and how to solve this problem?
Thanks in advance
ferrvrveve.png
#2 Опубликовано: 05.11.2019 15:08:12
sergio

sergio

116 сообщений из 333 понравились пользователям.

Группа: User

"roots" does not work with the units. You must adimensionare equations, or you can try the other features present in the plugin (eg "FindRoot" present "Nonlinear solvers" plugin)

sergio
#3 Опубликовано: 05.11.2019 15:52:23
Ale16595

Ale16595

0 сообщений из 35 понравились пользователям.

Группа: User

I tried another function but it still gives me an error...
oioijoijoijoi.png
#4 Опубликовано: 05.11.2019 23:57:28
Jean Giraud

Jean Giraud

983 сообщений из 6 866 понравились пользователям.

Группа: User

Wrote

I tried another function but it still gives me an error...


It's a huge system, and generally does not accept all initials same.
I would zap units first. This kind of solving should have it be
solved from P & P [Pain & Prestige] as it reflects real project
that does come out of the blue. Even Mathcad Given/Find may fail
or pedal through constrain.
Attach the work sheet ... some source reference as well.

#5 Опубликовано: 06.11.2019 02:25:20
Ale16595

Ale16595

0 сообщений из 35 понравились пользователям.

Группа: User

here is the spreadsheet
calcoli.sm (46,18 КиБ) скачан 636 раз(а).
it is a system of equations derived from the condition of dynamic equilibrium in the stationary curve motion of a bicycle
#6 Опубликовано: 06.11.2019 04:16:32
Martin Kraska

Martin Kraska

1 312 сообщений из 2 228 понравились пользователям.

Группа: Moderator

Equations 3 and 4 probably demand different values for N.r+N.f So there is no solution.

If the system has a solution, the function Solve() from Maxima plugin might find it.

2019-11-06 08_14_22-SMath Studio - [calcoli.sm_].png
Martin KraskaPre-configured portable distribution of SMath Studio: https://en.smath.info/wiki/SMath%20with%20Plugins.ashx
1 пользователям понравился этот пост
sergio 06.11.2019 06:47:00
#7 Опубликовано: 06.11.2019 15:20:34
Jean Giraud

Jean Giraud

983 сообщений из 6 866 понравились пользователям.

Группа: User

Wrote

here is the spreadsheet


1. equalities [1,2,3] are consistant 'N'
2. equalities [4,5,6] are inconsistant 'mixed units'

calcoli.sm (52,58 КиБ) скачан 576 раз(а).

You must make the system consitant before attempting solve.
#8 Опубликовано: 06.11.2019 15:35:50
Ale16595

Ale16595

0 сообщений из 35 понравились пользователям.

Группа: User

I tried to use the solve function but it still gives me an error saying that S is not defined
hfhfhfhfhffhfh.png
#9 Опубликовано: 06.11.2019 15:47:31
Jean Giraud

Jean Giraud

983 сообщений из 6 866 понравились пользователям.

Группа: User

Wrote

I tried to use the solve function but it still gives me an error saying that S is not defined


Did you read my reply just before your visit ?
#10 Опубликовано: 06.11.2019 16:20:21
Ale16595

Ale16595

0 сообщений из 35 понравились пользователям.

Группа: User

Wrote

Wrote

I tried to use the solve function but it still gives me an error saying that S is not defined


Did you read my reply just before your visit ?



sorry, when I wrote, I didn't notice your message
#11 Опубликовано: 10.11.2019 23:11:18
Alvaro

Alvaro

1 078 сообщений из 1 750 понравились пользователям.

Группа: User

Hi. Try this setup, using al_ library. I don't know if using better guess values can get better results (eqn 3 and 4 don't get good results)

calcoli.sm (50,31 КиБ) скачан 626 раз(а).

Best regards.
Alvaro.
#12 Опубликовано: 11.11.2019 07:37:20
Ale16595

Ale16595

0 сообщений из 35 понравились пользователям.

Группа: User

Wrote

Hi. Try this setup, using al_ library. I don't know if using better guess values can get better results (eqn 3 and 4 don't get good results)

calcoli.sm (50,31 КиБ) скачан 626 раз(а).

Best regards.
Alvaro.



Hi, thanks for the reply, but I think I found the error. The system I wrote has two linearly dependent equations, and for this reason it cannot find a solution.
I will have to modify the whole problem.
#13 Опубликовано: 11.11.2019 14:55:47
Jean Giraud

Jean Giraud

983 сообщений из 6 866 понравились пользователям.

Группа: User

Wrote

Hi. Try this setup, using al_ library. I don't know if using better guess values can get better results (eqn 3 and 4 don't get good results)


Hello Alvaro,
The attached CSTR [SS 6179] example is offered differently,
it is initialized from random guesses: success.
Cheers ... Jean

Solve al_nleqsolve CSTR.sm (38,81 КиБ) скачан 614 раз(а).

1 пользователям понравился этот пост
Alvaro 12.11.2019 13:29:00
#14 Опубликовано: 12.11.2019 13:29:59
Alvaro

Alvaro

1 078 сообщений из 1 750 понравились пользователям.

Группа: User

Wrote

Wrote

Hi. Try this setup, using al_ library. I don't know if using better guess values can get better results (eqn 3 and 4 don't get good results)


Hello Alvaro,
The attached CSTR [SS 6179] example is offered differently,
it is initialized from random guesses: success.
Cheers ... Jean

Solve al_nleqsolve CSTR.sm (38,81 КиБ) скачан 614 раз(а).



Hi Jean. Thanks, very interesting.
Best regards.
Alvaro.
  • Новые сообщения
  • Нет новых сообщений