1 страниц (7 вхождений)
From pic to SMath - Сообщения
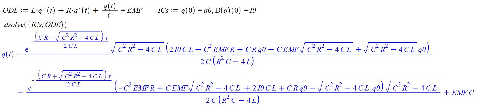
This is how I'd handle it with the Maxima plugin. In the first case with ODE.2(), Solve() can be applied to use the initial conditions to determine the constants of integration k1 and k2. In the second case with desolve() the initial conditions are specified beforehand with atvalue(). You get the symbolic solution if you disable the value assignments to the system constants.

Файл не найден.Файл не найден.
Файл не найден.Файл не найден.

Файл не найден.Файл не найден.
Файл не найден.Файл не найден.
Technische Mechanik mit SMath Studio: https://link.springer.com/book/10.1007/978-3-658-50592-9
2 пользователям понравился этот пост
Пример уже был на форуме: здесь.
Russia ☭ forever, Viacheslav N. Mezentsev
Russia ☭ forever, Viacheslav N. Mezentsev
1 страниц (7 вхождений)
- Новые сообщения
- Нет новых сообщений
