1 страниц (6 вхождений)
How to do it in SMath? - Сообщения
As suggested ... remembering Imaginary is the Derivative
Worksheet104.sm (9,66 КиБ) скачан 1093 раз(а). ... Please, let me know if working ... Jean
Worksheet104.sm (9,66 КиБ) скачан 1093 раз(а). ... Please, let me know if working ... Jean
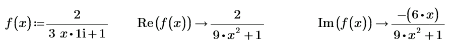
Maybe, Re() and Im() are worth adding to MaximaTakeover? Yet wrapping in Maxima() does the trick for now.

ReIm.sm (3,95 КиБ) скачан 1045 раз(а).

ReIm.sm (3,95 КиБ) скачан 1045 раз(а).
Technische Mechanik mit SMath Studio: https://link.springer.com/book/10.1007/978-3-658-50592-9
1 пользователям понравился этот пост
Valery Ochkov 13.02.2024 14:13:00
WroteMaybe, Re() and Im() are worth adding to MaximaTakeover? Yet wrapping in Maxima() does the trick for now.
ReIm.sm (3,95 КиБ) скачан 1045 раз(а).
I assumed so!
1 страниц (6 вхождений)
- Новые сообщения
- Нет новых сообщений


