Numeric integration boundary assignation - Is it a bug? - Сообщения
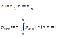
I was writing an example and meet a possible issue.
Look at the attached file, is it normal to not being able to assign directly t.1 and t.n to the integral interval?
ISERROR QUESTION MARK.sm (14,67 КиБ) скачан 737 раз(а).
![2019-04-20 11_03_05-SMath Studio - [ISERROR QUESTION MARK.sm_].png](/ru-RU/files/Download/EUvwDq/2019-04-20-11_03_05-SMath-Studio---[ISERROR-QUESTION-MARK.sm_].png)
![2019-04-20 11_04_01-SMath Studio - [ISERROR QUESTION MARK.sm_].png](/ru-RU/files/Download/ng2byR/2019-04-20-11_04_01-SMath-Studio---[ISERROR-QUESTION-MARK.sm_].png)
Thank you
WroteI was writing an example and meet a possible issue.
Like this ...
ISERROR QUESTION MARK.sm (16,64 КиБ) скачан 730 раз(а).
Still, I found that the integration variable is not quite independent (local) to the integral function. Should it be the case?
![2019-04-23 11_44_33-SMath Studio - [ISERROR QUESTION MARK_2.sm].png](/ru-RU/files/Download/KXmEGR/2019-04-23-11_44_33-SMath-Studio---[ISERROR-QUESTION-MARK_2.sm].png)
See the attached file.ISERROR QUESTION MARK_2.sm (16,42 КиБ) скачан 742 раз(а).
WroteThank you Jean for your example of cumulative integration. That was my next step :-)
Still, I found that the integration variable is not quite independent (local) to the integral function. Should it be the case?
Hi. It isn't in other software, like maple. Usually it must to be an undefined name:

Best regards
Alvaro.
WroteStill, I found that the integration variable is not quite independent (local) to the integral function.
Yes, like in Mathcad, in the wild domain of integration
Doctored in red, attached ... Cheers ... Jean
ISERROR QUESTION MARK_2.sm (18,49 КиБ) скачан 747 раз(а).
I guess that integration range meant not to be mixed with the integration variable. That does not disturb the calculation, but was only a bit counter intuitive.
Thanks for all (Jean, Alvaro and Sergio)
ISERROR QUESTION MARK_3.sm (57,66 КиБ) скачан 706 раз(а).
WroteI guess that integration range meant not to be mixed with the integration variable. That does not disturb the calculation, but was only a bit counter intuitive.
Same in Mathcad/Mathsoft. Read more in the attached from Drummondville.
Salut Voisin ! .. Jean
Integrate Compendium_000 Indefinite.sm (10,57 КиБ) скачан 732 раз(а).
![2019-04-24 08_33_40-SMath Studio - [Integrate Compendium_000 Indefinite.sm_].png](/ru-RU/files/Download/4w57FC/2019-04-24-08_33_40-SMath-Studio---[Integrate-Compendium_000-Indefinite.sm_].png)
Ok, so this worked because 'x' is the variable name for the vanishing iterator.
![2019-04-24 08_35_16-SMath Studio - [Integrate Compendium_000 Indefinite.sm_].png](/ru-RU/files/Download/sbsFW5/2019-04-24-08_35_16-SMath-Studio---[Integrate-Compendium_000-Indefinite.sm_].png)
Also worked because 'z' is a passing variable that will be iterated by 'x' in the plot.
![2019-04-24 08_39_00-SMath Studio - [Integrate Compendium_000 Indefinite.sm_].png](/ru-RU/files/Download/UhKGH2/2019-04-24-08_39_00-SMath-Studio---[Integrate-Compendium_000-Indefinite.sm_].png)
Would you explain why [-2..2] is 222 pixels? Should this be correlated to the window resolution? And not being a fixed value?
Thank you
WroteWould you explain why [-2..2] is 222 pixels? Should this be correlated to the window resolution? And not being a fixed value?
I copied the plot from another document, as it was then calipered.
Smath native 2D plot are adjustable by pixel in both directions.
Very nice to get pleasant looking side by side up/down plots.
Mathcad used to be not by pixel, rater by ½ pica. Thus not fine
trace and never none two of same size.
The other gorgeous plots are OriginLab. Not a function plotter
but plot XY data joined by spline(s) on pixels.
When you Shift+@ you get the native Smath canvas 232 150
Windows screen resolution is 96 ppi [PixelPerInch].
Thus eye fatigue on long term use because the internal
EyeFourierTransform must convert to the normal eye resolution
"normalized" 1200 ppi.
Read more about indefinite integral plots ... Jean
Integrate Compendium_000 Indefinite.sm (19,59 КиБ) скачан 722 раз(а).
WroteWould you explain why [-2..2] is 222 pixels? Should this be correlated to the window resolution? And not being a fixed value?
Another interesting visit ... It would be on prescribed pixels
if the cumulative would be discretized instead of scalar.
In the attached the f(x) looks monster big to calculates, not so.
f(x) is given in the Smath executable format.
Integrate_00000 [ RECAST Scalar].sm (13,27 КиБ) скачан 585 раз(а).
- Новые сообщения
- Нет новых сообщений
