1 страниц (5 вхождений)
Magnitude of a vector? - Where's the operator? - Сообщения
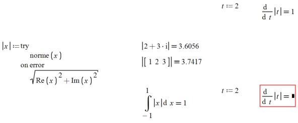
I'm a long time Mathcad user (back to the DOS version) and I think SMath is great, better than what Mathcad has become. So I'm surprised to be so stumped by something so simple. How do I get the magnitude of a vector? In Mathcad I'd use the "|" keyboard shortcut, but in SMath that's a Boolean OR. In the tool palettes I see two operators that look like what I want: absolute value (works only on scalars) and determinant (works only on square matrices). I know this probably seems like a dumb question but I can't find reference to it anywhere.
Just discovered the answer apparently is the "norme" function, kind of like in MATLAB. Mathcad has it too, but for square matrices only. I guess I was thinking more like an engineer than a mathematician. Would still be interested to know whether there's a way I'm missing that makes the vector magnitude look like |x| which is the usage I'm used to.
WroteHow do I get the magnitude of a vector?
More generally, the length of a vector is its arc length.
Then from simple Wikipedia style or mathematically computable..
Always possible from discrete data + finite differences.
1 страниц (5 вхождений)
- Новые сообщения
- Нет новых сообщений
