Uneval - Сообщения
Best regards.
Alvaro.

uneval.sm (8,16 КиБ) скачан 1104 раз(а).
ЦитатаIsn't what Clear(,) does ?
Clear is more permament. The uneval function allows you re-enable without redefining the variable.
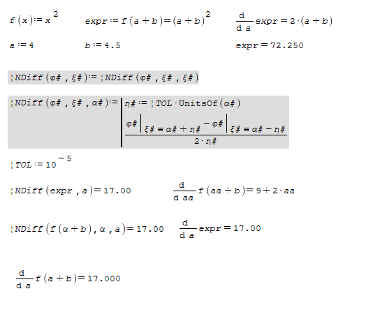
WroteHi. Thanks for the tip. But isn't enough for somethings more or less basics tasks, like call NDiff with 2 args, and not 3. Also, there are something else wrong about diff and how it handle some cases.
Best regards.
Alvaro.
The problem with your two argument function is that you're using hold() and value() functions in function call and those functions aren't defined anywhere.
The method still works with your defined functions IFF you define a and b when you would normally call eval()
You could also use the method Jean suggests, by calling
clear(a,b)
uneval (3).sm (10,68 КиБ) скачан 1091 раз(а).
WroteClear is more permament. The uneval function allows you re-enable without redefining the variable.
Just disable Clear(,) to reuse same parameters.
More generally if you "Clear" you want to redefine anyway, isn't ?
Wrote
The problem with your two argument function is that you're using hold() and value() functions in function call and those functions aren't defined anywhere.
uneval (3).sm (10,68 КиБ) скачан 1091 раз(а).
Sure, I'm requesting them.
Wrote
You could also use the method Jean suggests, by calling ...
Jean's method is close, but not enough (actually it's equivalent to x='x' in the image). Can you replicate this Maple's code in SMath?

Best regards.
Alvaro.
WroteHi. Thanks for the tip. But isn't enough for somethings more or less basics tasks, like call NDiff with 2 args, and not 3.
Isn't this pretty much what you want? Magics of the line operator.
![2018-02-02 21_16_04-SMath Studio - [uneval(1).sm_].png](/ru-RU/files/Download/6e3pbV/2018-02-02-21_16_04-SMath-Studio---[uneval(1).sm_].png)
uneval_Kr.sm (8,6 КиБ) скачан 1092 раз(а).
I forgot this one:
![2018-02-02 21_30_21-SMath Studio - [uneval_Kr.sm_].png](/ru-RU/files/Download/KhsFwa/2018-02-02-21_30_21-SMath-Studio---[uneval_Kr.sm_].png)
WroteThanks Martin!
I learned something new today. Looking forward to trying some more of these tricks with line operators in my own applications.
I wish I could explain this.
The debugger doesn't seem to reveal the secret:
![2018-02-02 21_54_32-SMath Studio - [uneval_Kr.sm_].png](/ru-RU/files/Download/gHHrqC/2018-02-02-21_54_32-SMath-Studio---[uneval_Kr.sm_].png)
WroteI wish I could explain this.
The line is a local definition operator.
Observe the red example: coefficients 'a' exist/defined/assigned
thus satisfy the Σ . On the other example |Σ 'c' result from calculations.
The summing operator must "steal" the 'c' via the isolating local line operator.
Differently but of same nature, DeBoor is redefined locally on the RHS.
More examples have been encountered [there was Legendre polynomials...]
WroteHi. The proposed method looks excellent, but only works for integers.
So, it's a bug or what else?
Best regards.
Alvaro
The at() function used for applying the perturbation makes a search and replace without limiting the search expression to valid variable names. It can't, however, handle expressions as replacement targets.
The line function isn't at stake here.
![2018-02-04 12_37_48-SMath Studio - [Page4_].png](/ru-RU/files/Download/RbRTuP/2018-02-04-12_37_48-SMath-Studio---[Page4_].png)
WroteI learned something new today. Looking forward to trying some more of these tricks with line operators in my own applications.
More generally, the line operator is the program operator.
It may be as short as one element. Attached are three typical
applications. DeBoor is just demo, here [attached separately].
Maths Local Definition.sm (28,24 КиБ) скачан 1109 раз(а).
Spline De Boor [Colibri].sm (33,42 КиБ) скачан 964 раз(а).
if so => here is simple procedure that needs no
Uneval/re-eavl ... it just works on demand ,
wherever demanded in the work sheet.
Maths Uneval.sm (7,66 КиБ) скачан 1074 раз(а).
- Новые сообщения
- Нет новых сообщений



