1 страниц (7 вхождений)
Empty stack with maple - Empty stack with maple - Сообщения
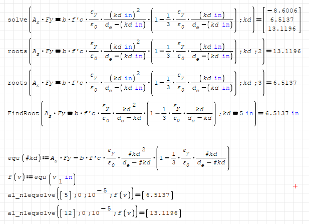
Hi everyone
I have to try to solve this equation with maple and solve but I only get the result "Empty stack", Someone knows solve it?
Moment_Curvature relationship.sm (940,84 КиБ) скачан 1068 раз(а).
I have to try to solve this equation with maple and solve but I only get the result "Empty stack", Someone knows solve it?
Moment_Curvature relationship.sm (940,84 КиБ) скачан 1068 раз(а).
Hi. It seems that you put kd( ... ) instead kd*( ... ) in the maple solver.
Best regards.
Alvaro.
Best regards.
Alvaro.
Alvaro thanks for you answer but
"kd" is the only value unknown
"kd" is the only value unknown
Thanks a lot Alvaro
1. RootOf expands easily [Example 1]
2. root is undocumented, most precious for dual solver [Example 2]
3. allvalues ... most precious in invlaplace [Example 3]
Maple RootOf Example.sm (38,42 КиБ) скачан 1088 раз(а).
2. root is undocumented, most precious for dual solver [Example 2]
3. allvalues ... most precious in invlaplace [Example 3]
Maple RootOf Example.sm (38,42 КиБ) скачан 1088 раз(а).
1 страниц (7 вхождений)
- Новые сообщения
- Нет новых сообщений

