1 страниц (18 вхождений)
solving simultaneous equations with Solve - Solve() Maxima not working - Сообщения
hi,
I used the Solve function a lot before but for some reason it does not work for this simple example.
I need to get the RayLeigh Damping factors alpha and beta using two frequencies, so two simple simultaneous equations should do it. tried using Solve but no luck.
Does anyone know why it is not solving?
Thanks in advance
Файл не найден.Файл не найден.
I used the Solve function a lot before but for some reason it does not work for this simple example.
I need to get the RayLeigh Damping factors alpha and beta using two frequencies, so two simple simultaneous equations should do it. tried using Solve but no luck.
Does anyone know why it is not solving?
Thanks in advance
Файл не найден.Файл не найден.
You can use roots() for your function. And a vectorize() can simplify it.
However, to use Assign() you will need this function to merge vars and solutions.
Regards
Assign_without_Maxima Solve().sm (7,36 КиБ) скачан 847 раз(а).

However, to use Assign() you will need this function to merge vars and solutions.
Regards
Assign_without_Maxima Solve().sm (7,36 КиБ) скачан 847 раз(а).

1 пользователям понравился этот пост
Mo 05.04.2022 22:22:00
Thanks Overlord, PompelmoTell, greatly appreciated!!
Greetings,
Another approach would be to use some elbow grease, you can substitute terms by hand and solve for 𝛼 and 𝛽:
Keypress (You can copy/paste the following into your worksheet):
*NOTE: ω.1 and ω.2 shown above are variables with subscript, they are not vectors ω[1 and ω[2; You should be able to substitute ω.1 for ω[1 if that serves your purposes.
- - -![[SMath] Simultaneous Equations.jpg](/ru-RU/files/Download/23FW8Q/[SMath]-Simultaneous-Equations.jpg)
- Kenny Lemens, P.E.
Another approach would be to use some elbow grease, you can substitute terms by hand and solve for 𝛼 and 𝛽:
Keypress (You can copy/paste the following into your worksheet):
α:{2*D*ω.1*ω.2}/{ω.1+ω.2}
β:α/{ω.1*ω.2}
- - -
![[SMath] Simultaneous Equations.jpg](/ru-RU/files/Download/23FW8Q/[SMath]-Simultaneous-Equations.jpg)
- Kenny Lemens, P.E.
"No matter where you go, there you are." -Buckaroo BanzaiHotkeys: https://en.smath.com/forum/resource.ashx?a=45771&b=2
1 пользователям понравился этот пост
Mo 06.04.2022 11:57:00
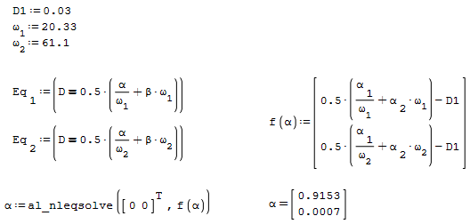
If the damping coefficients are denoted by α1 and α2, you can use the function al_nlegsoive
test.sm (6,99 КиБ) скачан 887 раз(а).

test.sm (6,99 КиБ) скачан 887 раз(а).

solving with uni's latest addition mathcad blocks;
you wouldn't need Eq: actually, but it can be shown.
mathblock.sm (5,15 КиБ) скачан 843 раз(а).

you wouldn't need Eq: actually, but it can be shown.
mathblock.sm (5,15 КиБ) скачан 843 раз(а).

1 пользователям понравился этот пост
Mo 09.04.2022 22:28:00
I think this is the most sophisticated method of my way.
It can get unknowns from equation, solve them.
In the end assigns numerical values to unknowns.
You don't need to define alpha or beta or any variable.
All process is automatic.
Regards
mathblock_v2.sm (5,19 КиБ) скачан 872 раз(а).

There is also this way for guess define.

It can get unknowns from equation, solve them.
In the end assigns numerical values to unknowns.
You don't need to define alpha or beta or any variable.
All process is automatic.
Regards
mathblock_v2.sm (5,19 КиБ) скачан 872 раз(а).

There is also this way for guess define.

WroteI think this is the most sophisticated method of my way.
It can get unknowns from equation, solve them.
In the end assigns numerical values to unknowns.
You don't need to define alpha or beta or any variable.
All process is automatic.
Regards
There is also this way for guess define.
This is good, but for a system of linear equations(our case), the guess can be arbitrary.
And finally a version with Solve() and list injection region:

mathblock_Solve.sm (4,86 КиБ) скачан 834 раз(а).

mathblock_Solve.sm (4,86 КиБ) скачан 834 раз(а).
Technische Mechanik mit SMath Studio: https://link.springer.com/book/10.1007/978-3-658-50592-9
1 пользователям понравился этот пост
sergio 09.04.2022 04:48:00
Greetings,
If plugins are considered, you can also consider the use of Maple:
- - -![[SMath] Maple - Simulatneous Equ..jpg](/ru-RU/files/Download/yzzGBF/[SMath]-Maple---Simulatneous-Equ..jpg)
In the image I posted, the 'equal sign' shown on those two equations are actually symbolic equals; keypress: [ctrl] + [.] instead of keypress [=].
Kenny Lemens, P.E.
If plugins are considered, you can also consider the use of Maple:
- - -
![[SMath] Maple - Simulatneous Equ..jpg](/ru-RU/files/Download/yzzGBF/[SMath]-Maple---Simulatneous-Equ..jpg)
In the image I posted, the 'equal sign' shown on those two equations are actually symbolic equals; keypress: [ctrl] + [.] instead of keypress [=].
Kenny Lemens, P.E.
"No matter where you go, there you are." -Buckaroo BanzaiHotkeys: https://en.smath.com/forum/resource.ashx?a=45771&b=2
Hi. The isol solution, using only the Mathcad block plugin.

isol_example.sm (68,13 КиБ) скачан 820 раз(а).
isol_example.pdf (34,57 КиБ) скачан 417 раз(а).
Best regards.
Alvaro.

isol_example.sm (68,13 КиБ) скачан 820 раз(а).
isol_example.pdf (34,57 КиБ) скачан 417 раз(а).
Best regards.
Alvaro.
1 пользователям понравился этот пост
sergio 12.04.2022 05:01:00
Thank you all for the feedback, is there a literature or manual to explain the Mathcad block plugin?
Thanks
Thanks
WroteThank you all for the feedback, is there a literature or manual to explain the Mathcad block plugin ?
For that particular example, maple is an algebraic export.
Mathcad block has not yet been exemplified in Smath Community
of what it can do vs what native Smath can't.
Cheers ... Jean.
Codes Solve.sm (12,46 КиБ) скачан 858 раз(а).
WroteThank you all for the feedback, is there a literature or manual to explain the Mathcad block plugin?
Thanks
We have what Viacheslav provided us.
There are some samples or functions too which individual users uploaded.
You can look the extension page for some examples.
And there are some samples in forum topic that users posted.
It may be a small bunch, but we try to understand its capabilities.
This feature/plugin is also new to us.
Regards
https://en.smath.com/forum/yaf_postst726_Mathcad-Toolbox.aspx
1 страниц (18 вхождений)
- Новые сообщения
- Нет новых сообщений
