1 страниц (10 вхождений)
Solving proportion whit Smath - Сообщения
Thanks realy much this help lot!
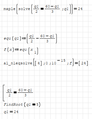
WroteIs there any way to solve proportion's ...
Pie chart is a good candidate to visit ... demo.
2D Plot Pie Chart.sm (61,57 КиБ) скачан 746 раз(а).
Solve Forum.sm (4,56 КиБ) скачан 803 раз(а).
There are also plugin solvers.
Maxima can be added to collection as well.
Regards
plugin_solvers.sm (5,69 КиБ) скачан 767 раз(а).

Maxima can be added to collection as well.
Regards
plugin_solvers.sm (5,69 КиБ) скачан 767 раз(а).

1 страниц (10 вхождений)
- Новые сообщения
- Нет новых сообщений



