Smath Solver

Smath Solver - Сообщения

#1 Опубликовано: 21.01.2022 06:45:25
Beyaz

Beyaz

0 сообщений из 19 понравились пользователям.

Группа: User

Hi,

Im trying convert this mathcad solver to smath but it doesnt work.
Radius_318a.sm (9,34 КиБ) скачан 748 раз(а).

Unbenannt.JPG
#2 Опубликовано: 21.01.2022 11:44:53
sergio

sergio

116 сообщений из 333 понравились пользователям.

Группа: User

It is a non-linear system. With the internal "Roots" solver it is appropriate to use initial values ​​sufficiently close to the result.
You can use some of the smath plugins that are more robust. For example, with "Solve" of the "Maxima plugin you get the result.

Показать спойлер


Radius_318a_ser.sm (337,14 КиБ) скачан 804 раз(а).
sergio
#3 Опубликовано: 21.01.2022 17:30:18
overlord

overlord

582 сообщений из 1 349 понравились пользователям.

Группа: Moderator

With an addition to sergio's solution;
You can use vectors while solving.

Regards

roots.png
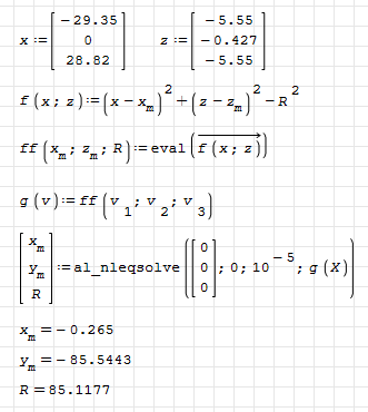
#4 Опубликовано: 21.01.2022 20:59:15
overlord

overlord

582 сообщений из 1 349 понравились пользователям.

Группа: Moderator

Solution with another solver.

Regards

al_nleqsolve.sm (6,99 КиБ) скачан 723 раз(а).

al_nleqsolve.png
#5 Опубликовано: 26.01.2022 03:52:33
Beyaz

Beyaz

0 сообщений из 19 понравились пользователям.

Группа: User

wow, thanks a lot guys.

//Edit: the thanks button is not working. I cant give you thanks
  • Новые сообщения
  • Нет новых сообщений