Solve Utilities Productive - Solve Utilities Productive - Сообщения
Wrote...
Solve ADVANCED Productive Copy.sm (326,16 КиБ) скачан 932 раз(а).
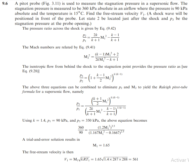
Again? If you had used true units and not fake ones, you would have realized that, as its name very well indicates, the "Mach number" is just that... a number, dimensionless, as numbers usually are. The Mach number has to be multiplied by the speed of sound at that height, which with an atmosphere model other than NASA's K-12 for kids, would give the temperature at which to evaluate c = sqrt(γ*R*T ), to, now yes, get the speed knowing the height and the reading of the Machmeter ( https://en.wikipedia.org/wiki/Machmeter ) with u = M * c ( https://en.wikipedia.org/wiki/Mach_number ) and not simply multiplying M by the speed of sound at sea level as in your example:

Best regards.
Alvaro.
Best regards.
Alvaro.
The second equal sign in the equation for V.1 is plain wrong. To the left there is a velocity, to the right there is a dimensionless number.

Either they forgot the units (m/s) or they forgot to write {V.1} to indicate they mean the number, using the notation for a quantity being the product of numeric value and unit m={m}[m]. But then the respective unit should be indicated somewhere.
The correct way would have been to substitute the values including their units. Substituting just the numbers is a frequently seen type of laziness.
So it is not an example for clean handling of physical quantities. Many engineering books show this kind of disrespect to the equal sign for intermediate calculations Here we have second level disrespect by not even giving the unit of the result.
On the other hand: a unitless intermediate formula and a result with units would mean even two disrespected equal signs instead of only one in the above example

WrotePerfect example that using SI units doesn't guarantee clean physics/maths/engineering.
My intention is not to be an opposing force but actually they are. You have noticed the irregularity via using SI units.
Problem is not "using SI units", it is "not using SI units".
WroteThe second equal sign in the equation for V.1 is plain wrong. To the left there is a velocity, to the right there is a dimensionless number.
By to look of page design, my diagnosis is lazy LaTeX writing. I agree, author should be more careful.
WrotePerfect example that using SI units doesn't guarantee clean physics/maths/engineering.
...
Absolutely agree. In addition, the pressures are in kPa, but R in J/kg/K, which is not so common, since they are usually kJ instead of J. With which, at first glance, the only thing that saves affirming that the speed It should be in km/s instead of m/s, it would be folly because it is very large.
From the same publisher, but now Fluid Mechanics with hydraulics and others authors, more or less the same calculation with Pitot, another little gem: lb/ft^2 as a unit of pressure, but they can also call it psf, I guess depending on his mood. When they don't clarify lbf or kgf it's just a matter of time before they get a force wrong by a factor of 10 at some point.
Best regards.
Alvaro.
Wrote"Mach number" is just that... a number, dimensionless,
The demo is neutral about solving on the canvas.
Publish more/adapt ... for Smath Community.
WroteAgain? If you had used true units and not fake ones...
"Father, forgive them, for they don't know what they are doing."
Best regards.
Alvaro.
WroteI also remember several mistakes of mine about RPM and temperature units
Alvaro, remember I help you about torque.
WroteWroteI also remember several mistakes of mine about RPM and temperature units
Alvaro, remember I help you about torque.
That's the point: You don't.
In spanish we say "sostenella y no enmendalla" ( http://etimologias.dechile.net/Expresiones/?Sostenella-y-no-enmendalla ). Torque have dimensions of energy, but in your pseudo scientific unitless world, it has units of force
WroteNotice that can't find torque.
Torque is just visual popular equivalent of force ... kgf, kN
Martin help there. You only insist on the misuse of the units, whatever the system (SI, CGS, MKS, FPS, ENG, ...). You have helped me several times, but precisely not in the case of torque. I remember for example your help with selecting points on a graph, in the Mathcad forum. I also remember asking Mona to delete a post of yours because of the things you said, and I decided then to forget that incident.
But there is no way to explain to you that the units of torque are not kgf, nor those of the Mach number kph, nor the differences between static and dynamic viscosity, nor many other things: "sostenella y no enmendalla"
Best regards.
Alvaro.
WroteMy typo kgf instead of kgf/m can be noticed with Collab respect.
1 Mach = ... kph
Pretty sure those are not typo. You don't know how to work with units, simple as that.
Most of your calculations has that mistakes, you even despise people who told you to correct your failures.
If those were just typos any sane person should have been corrected after 4-6 years.
On the contrary you are still snubbing everyone and posting your full of mistakes samples.
Worse, when you are cornered you simply draw "billion dollar nuclear plant and golden bridge award" card.
I will continuously say you are not a good engineer, simple as that. And your mistake are not typos.
Because, you still wrote Mach = .. kph or kgf/m for torque unit or force. Unclear over there.
NEITHER IT IS NOT!!! It is N*m for torque, N for force, m for distance. (or 1kgf for 9.807N)
Mach number has no units, it doesn't have kph for unit. IT IS JUST A NUMBER!!!
You should also correct your kW/hr mistake for power (W) too, also cP usage instead of cSt.
I feel sometimes I am talking to a wall.
WroteI will continuously say you are not a good engineer, simple as that.
Ask the Smath Community if your personal addressed bashing helps.
WroteWroteI will continuously say you are not a good engineer, simple as that.
Ask the Smath Community if your personal addressed bashing helps.
It helps to see new users how horribly erroneus your calculations are.
I am sure of it, deal with it. You will be addressed every time you blather.
- Новые сообщения
- Нет новых сообщений


