1 страниц (9 вхождений)
Cannot solve a matrix equation with the Maxima plug-in - Сообщения
Hi,
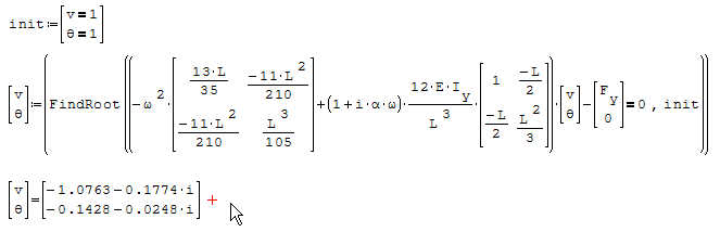
I'd like to solve the following equation involving matrices for unknown v and θ:

After inputting it in the format used by the Maxima plug-in I get the "no result" message:

Am I doing something wrong ?
Matrix equation.sm (8,59 КиБ) скачан 854 раз(а).
I'd like to solve the following equation involving matrices for unknown v and θ:

After inputting it in the format used by the Maxima plug-in I get the "no result" message:

Am I doing something wrong ?
Matrix equation.sm (8,59 КиБ) скачан 854 раз(а).
I think the problem is that the units don't match. Compare the units of the components of the two terms inside the brackets that multiply the [v; theta] vector.
WroteI think the problem is that the units don't match.
Compare the units of the components of the two terms inside the brackets
that multiply the [v; theta] vector.
FindRoots ignores Units. Code the image first.
Solve FindRoots Complex Forum.sm (11,09 КиБ) скачан 918 раз(а).
Wrote
Thank you, I didn't know that I should use the Nonlinear Solvers plug-in instead of the Maxima one.
It works now but the result is surprising. It should be something like v = - 0.021020 for the real part with this input data.
Wrote
I think the problem is that the units don't match. Compare the units of the components of the two terms inside the brackets that multiply the [v; theta] vector.
I also suspected the units initially but it didn't work without them either.
I also suspected the units initially but it didn't work without them either.
In order to be able to add the two terms they must have the same units. However, omega^2*L doesn't have the same units as EI/L^3. The omega^2*... term seems to be missing a linear mass density (kg/m).
The fact that you might be able to get a numerical result by simply removing the units is irrelevant.
Wrote
In order to be able to add the two terms they must have the same units. However, omega^2*L doesn't have the same units as EI/L^3. The omega^2*... term seems to be missing a linear mass density (kg/m).
The fact that you might be able to get a numerical result by simply removing the units is irrelevant.
Right, I was wondering why density/mass is not included in that equation. Especially since it's included in the equation for tension (the one here is for bending): https://code-aster.org/V2/doc/v13/en/man_v/v2/v2.06.101.pdf
Maybe it's a typo and the density should be added before the first omega. Or omega means something different than I assumed (angular frequency).
Edit: I tried calculating mass per unit length based on the density and cross-section area provided in the document and then multiplying it by omega^2 but the result is v = 0,0175 which is still far from the expected value.
Besides correction of the unit mismatch, Solve seems to want the matrix equation in homogeneous form.

Matrix equation_Kr.sm (14,1 КиБ) скачан 847 раз(а).

Matrix equation_Kr.sm (14,1 КиБ) скачан 847 раз(а).
Martin KraskaPre-configured portable distribution of SMath Studio: https://en.smath.info/wiki/SMath%20with%20Plugins.ashx
1 страниц (9 вхождений)
- Новые сообщения
- Нет новых сообщений
