Maxima crahes SMath with package "interpol" - Turning optimization None crashes Smath - Сообщения
325 сообщений из 2 052 понравились и 1 не понравились пользователям.
Группа: Moderator
Regards,
Radovan

The current plugin version is rather unstable. There are multiple ways to trouble the plugin such that you cannot even recover by MaximaControl("restart" ).
I think we should maintain a stable and a development version in the online gallery.
325 сообщений из 2 052 понравились и 1 не понравились пользователям.
Группа: Moderator
I am not sure if this particular problem (bug) might be somehow related to the relational operators in Smath and in Maxima (<= etc.). I remembered you mentioned this somewhere, but can not find it where it was at the moment.
Regards,
Radovan
However, the plugin should not crash on unsupported expressions.
It seems that expressions involving charfun() cannot be integrated symbolically using Maxima. Thus there might be a point of transforming boolean expressions to such with sign().
We upload the new plugin version as soon as it passes the regression test. Current state is too unstable.
325 сообщений из 2 052 понравились и 1 не понравились пользователям.
Группа: Moderator
Actually, I was trying to make a function by using cubic spline from interpol package, and to see how to integrate and differentiate the obtained function numerically - everything by using Maxima. I was already mentioned this few times on the Forum. For instance (see this example Differentiation of splines). Unfortunately, this example will not work for me anymore, do not know why.
Regards,
Radovan
EDIT: Try to plot with both SMath genuine plot and X-Y plot. There are the differences I can not explain

al_convr1d.sm (21,17 КиБ) скачан 858 раз(а).
325 сообщений из 2 052 понравились и 1 не понравились пользователям.
Группа: Moderator
Actually, it is a bit out of the topic regarding the Maxima interpol package - but I can not understand why the plotting does not work anymore and do not understand why solve() failed here. It seems to me that I have the same questions over and over. Sorry If I do not see some obvious things - again.
Regards,
Radovan
The attached sm file will not produce this result for the plot and solve() anymore, as seen in the picture
interpdiff-1.sm (12,15 КиБ) скачан 889 раз(а).
325 сообщений из 2 052 понравились и 1 не понравились пользователям.
Группа: Moderator
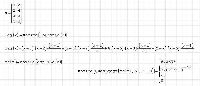
Unfortunately, numerical integration in Maxima (quad* set of functions) will not work directly in SMath with this cubic spline. Actually, It must be used this way
[MATH=eng]Maxima(quad_qags(cspline(M),x,1,3))=sys(6.369565217391301,7.071637942785607*10^{-14},63,0,4,1)[/MATH]
Moreover, when I use Davide's, Gradiend.CD() I can get a function by numerically differentiating - but not its roots. This is a long time story, and I still can not figure out how to deal with this kind of problems in SMath.
Regards,
Radovan

You have to remove the suppression of charfun() (which I guess - if not bet - is still somewhere in your SMath sheet ;-)WroteThank you Martin,
Unfortunately, numerical integration in Maxima (quad* set of functions) will not work directly in SMath with this cubic spline.
Application and removal of type conversion functions like charfun() should be done in the translation process. This, however, is not yet implememted.
It might be a good idea to use the quadrature functions in Maxima for int() when numeric optimization is requested. This would, of course, require units preprocessing.
325 сообщений из 2 052 понравились и 1 не понравились пользователям.
Группа: Moderator
WroteYou have to remove the suppression of charfun() (which I guess - if not bet - is still somewhere in your SMath sheet ;-)WroteThank you Martin,
Unfortunately, numerical integration in Maxima (quad* set of functions) will not work directly in SMath with this cubic spline.
Yes, you are right - I missed it
Regards,
Radovan
Maxima cspline is an horrible monkey business probably incompatible with Smath, WHY ?
On the first count: Smath is not a 'scalar' system, only discrete.
Thus it might be impossible to built a scalar cspline that can be assigned as a function
as a function analytical up to the 2nd order derivative.
On the 2nd count: the former Maxima cspline is archaic in the displaying the segments,
just figure splining a data set of small 50 pairs. Again not exportable.
More confusing: Smath f(x) has linterp, ainterp [Akima spline], cinterp
these 3 are LOCAL interpolating functions, i.e: nothing else to do with
except populate data set for export.
_____________________________________________________
The Lagrange interpolation is totally useless. From a data set of length 'n' you can get
an nth order polynomial that will do exactly what your Lagrange interpolation does.
If your data set is like noisy or not so regular [they are always noisy or not very regular
from experimental sampling], the the polynomial fit can be or les order than the 'n' data.
Thus you benefit some smoothing. The polynomial fit need not be of integer monomials
x, x^2, x^3 ... the x's may be of decimal exponents, it may help the fit.
Polynomial fit is just few line of Smath simple coding.
A much, much, much more powerful fitter is the Padé rational fraction, in Mathcad 11, it works
by clicking the fingers. BTW, all [if not all] approximation of functions in computers
are Padé rational fractions [collected in Hart et al.]
jmgiraud@bell.net
- Новые сообщения
- Нет новых сообщений