Program for Linear and Polynomial Fit - Сообщения
Examples 1 to 3 are for comparison only. Plot of given data is necessary to guess the distribution.
1. Ex. 1: Quadratic, posted by Martin
2. Ex.2: Ex.1 using SMath
3. Ex.3. Linear
4. Ex.4: A simple program to determine a suitable Linear / Polynomial fit to such data.
1.0 Linear & Poly Fits.sm (738,92 КиБ) скачан 880 раз(а).

WroteSimple examples on Linear and Polynomial fittings included as follows.
SS 6179 does not open at all and may have crashed my session.
If SS 7251 syntax is not compatible, it just turns red.
As it looks, incompatible syntax in program is dead like a stone.
Voltaire declared [not exactly] ...
When a stone is dead, she is dead for a long time !
Why not simply open the red syntax program ?
The black regions SS 7251 have been reported many times,
still pending Doctors to come back from fishing.
Thanks Collab NDTMA
WroteSS 6179 does not open at all and may have crashed my session.
Sorry Jean. Forgot to attach the PDF. Thanks for your observations.
1.0 Linear & Poly Fits.pdf (683,54 КиБ) скачан 530 раз(а).
WroteSorry Jean. Forgot to attach the PDF. Thanks for your observations.
Thanks for the *.PDF
Reconstructed c/w a lot more elegant export
Jean.
Polyfit Otherwise.sm (15,6 КиБ) скачан 864 раз(а).
WroteReconstructed c/w a lot more elegant export
J
... a bit more/different but encountered "puzzling or bug".
Doctored but mystic.
Polyfit Otherwise.sm (22,44 КиБ) скачан 794 раз(а).
Wrote... a bit more/different but encountered "puzzling or bug".
Doctored but mystic.
... suite/reconciliation from SS 5346 [works SS 6179]
Elegant and profitable, no bug/puzzling. Export polyfit.
Polynomial fit Methods [Regress Quick].sm (17,83 КиБ) скачан 733 раз(а).
PolyFit.sm (18,44 КиБ) скачан 854 раз(а).
PolyFit.pdf (162,98 КиБ) скачан 494 раз(а).
Best regards.
Alvaro
WroteThis is another approach.
Thanks Alvaro ... superb ! Jean.
That black regions is really a pen in the ass.
PolyFit [Alvaro Balistic].sm (22,1 КиБ) скачан 779 раз(а).
Global warming 1950 ... 2019 °C deviation wrt period 1950/1960
Fit on ChebyShev ± 1 and recovered on separate document.
PolyFit [Alvaro Balistic].sm (133,63 КиБ) скачан 670 раз(а).
WroteFit on ChebyShev ± 1 and recovered on separate document.
... here is HadCRU fitted in the ChebyShev ± 1
then recovered in the original 1950 ... 2019 range.
It has nothing to do with the PolyFit(X,Y,n)
simply that high order polynomials are numerically
unstable at high range of the variate 'x'.
It has nothing to do with the CAS or floating arithmetic,
simply an Edu mathematical fact.
PolyFit [Alvaro Balistic].sm (310,61 КиБ) скачан 687 раз(а).
Wrote... here is HadCRU fitted in the ChebyShev ± 1
... the clean/refreshed Edu version.
PolyFit [Alvaro Balistic].sm (230,72 КиБ) скачан 741 раз(а).
WroteSimple examples on Linear and Polynomial fittings included as follows.
... tested/fails [Uncertainty]
Poly 00 NDTMA.sm (112,87 КиБ) скачан 858 раз(а).
WroteWroteSimple examples on Linear and Polynomial fittings included as follows.
... tested/fails [Uncertainty]
Poly 00 NDTMA.sm (112,87 КиБ) скачан 858 раз(а).
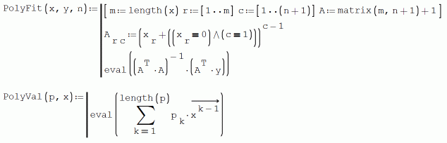
Hi. Here

the code (el(x,r)≡0)&(c≡1) for construct the Vandermonde matrix is for avoid 0^0, which returns the error.
Also, I avoid augment in the recursive loops because it's frustratingly slow.
Finlay, the code for PolyVal it's very inefficient, it's only for pedagogical purposes. Horner must be implemented for some other application. Notice that both are matlab/octave/scilab routines too.
In my opinion, the intention of Nugegodage to replicate ms excel results in SMath is very important, to promote SMaths as better alternative to excel doing math.
Best regards.
Alvaro.

Cholesky_Function_CBG_Jean_SS7251.sm (168,3 КиБ) скачан 847 раз(а).
Cholesky_Function_CBG_Jean_SS6179.sm (166,42 КиБ) скачан 824 раз(а).
Best Regards
Carlos
BTW, I too get "uncertainty" error in Jean's example. Hope these issues will be resolved soon.
Once again Thank You all.
PolyFit.sm (152,04 КиБ) скачан 837 раз(а).
PolyFit.pdf (693,6 КиБ) скачан 457 раз(а).
Best regards.
Alvaro.
WroteThank you Jean, Alvaro and Carlos for your valuable responses.
BTW, I too get "uncertainty" error in Jean's example. Hope these issues will be resolved soon.
Resolved in the attached from coding Cholesky the right way.
Alvaro code was OK too.
All in all, purely polynomials have so few applications
that they don't worth more than a short Classroom introduction.
On the other hand, the vector of functions is lot more productive.
And BTW, it is the form for the Conjugate Gradient model fitting.
Jean.
Poly 000 jmG Conjugate Gradient.sm (49,54 КиБ) скачан 834 раз(а).
Poly 000 jmG.sm (146,39 КиБ) скачан 825 раз(а).
WroteThat's my solution
- to separate the functions from matrix building,
- to use vectorize for speed
Thanks for your effort/contribution.
Sorry, but too much of a monkey business.
Here are the two elegant Cholesky linear solver:
1. The modular local utility [Mathcad linfit style]
2. The general algo style as an Smath native.
Works same SS 6179 from original created SS 5346.
Hope this document will tranquilize visitors/users !
Jean.
Poly 000 jmG linfit MCD.sm (34,52 КиБ) скачан 865 раз(а).
- Новые сообщения
- Нет новых сообщений

