Summation error - imaginary i as sum iterator

Summation error - imaginary i as sum iterator - Changed summation behaviour? - Сообщения

#1 Опубликовано: 18.03.2018 17:55:24
Jan Claeys

Jan Claeys

2 сообщений из 25 понравились пользователям.

Группа: User

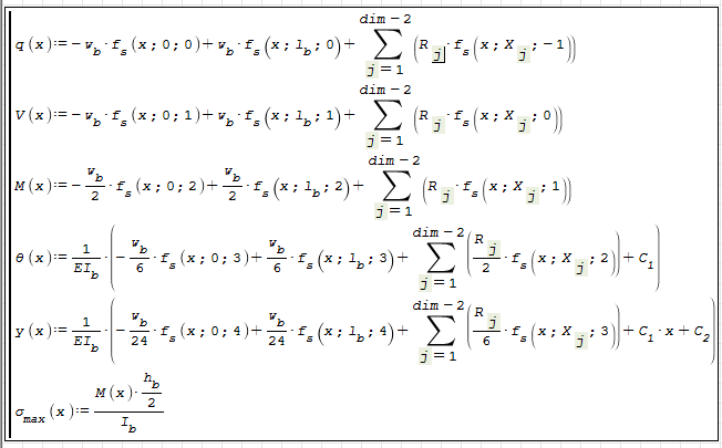
Dear all,

Some years ago, I worked out a beam calculation tool in smath, based on singularity functions.
The sheet worked flawless in an older SMath version, but the most recent SMath-incarnations result in problems: the error seems to originate with the summation command.
How do I get this program working again?

I attach the original files: thanks for any feedback!

Kind regards from a Belgian SMath-fan,

Jan

Original file with summation error.sm (143,1 КиБ) скачан 891 раз(а).
Original file working.pdf (190,36 КиБ) скачан 469 раз(а).
#2 Опубликовано: 18.03.2018 18:25:11
Andrey Ivashov

Andrey Ivashov

2 318 сообщений из 3 974 понравились пользователям.

Группа: Super Administrator

Hello.

This is because of using "i" as a variable. Currently we have some issues regarding it. Will be addressed soon.

Simple change to fix your worksheet:

ij.PNG

Best regards.
1 пользователям понравился этот пост
janclaeys 19.03.2018 08:16:00
#3 Опубликовано: 19.03.2018 00:27:26
Jean Giraud

Jean Giraud

983 сообщений из 6 866 понравились пользователям.

Группа: User

Wrote

Hello.

This is because of using "i" as a variable.
Currently we have some issues regarding it.
Will be addressed soon.

Simple change to fix your worksheet:


Alternately: define the summations as local variable [SS 6179]
The document concludes the project.

Jean

Original file with summation error(1).sm (147,86 КиБ) скачан 851 раз(а).

1 пользователям понравился этот пост
janclaeys 19.03.2018 08:16:00
#4 Опубликовано: 19.03.2018 08:16:29
Jan Claeys

Jan Claeys

2 сообщений из 25 понравились пользователям.

Группа: User

Thank you Andrei & Jean for the fast feedback!
  • Новые сообщения
  • Нет новых сообщений