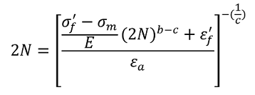
Форум SMath SMath Studio Questions help me to solve this equation using iterative method 1 страниц (3 вхождений) help me to solve this equation using iterative method - help me to solve this equation using iterative method - Сообщения К последнему сообщению #1 Опубликовано: 01.09.2025 06:32:26 Spinach 0 сообщений из 3 понравились пользователям. Группа: User Please help me solve this equation to find the value of 2N; the values of other variables are known. This equation can be easily solved using iterative methods in Excel. How can I solve it in SMath?equation.sm (47,88 КиБ) скачан 716 раз(а). Отредактировано 01.09.2025 06:59:59 #2 Опубликовано: 01.09.2025 07:38:49 Davide Carpi 1 436 сообщений из 2 919 понравились пользователям. Группа: Moderator Here it is a solution using built-in solveequation_solve.sm (51,75 КиБ) скачан 724 раз(а). If you like my plugins please consider to support the program buying a license; for personal contributions to me: paypal.me/dcprojects #3 Опубликовано: 01.09.2025 09:22:40 Spinach 0 сообщений из 3 понравились пользователям. Группа: User WroteHere it is a solution using built-in solveequation_solve.sm (51,75 КиБ) скачан 724 раз(а).Thank you very much for your clarification 1 страниц (3 вхождений) Новые сообщения Нет новых сообщений