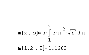
Форум SMath SMath Studio Ошибки и проблемы Вычисление интегралов 1 страниц (3 вхождений) Вычисление интегралов - Задание предела интегрирование переменной - Сообщения К последнему сообщению #1 Опубликовано: 08.10.2012 06:42:45 micromega 0 сообщений из 2 понравились пользователям. Группа: User Здравствуйте, заметил одну недоработку. При задании верхнего (а может и нижнего) передела интегрирования переменной, вычисление не происходит.Наиболее красноречиво об этом расскажет скриншот. #2 Опубликовано: 08.10.2012 07:14:04 уни 156 сообщений из 355 понравились пользователям. Группа: User А если так: Россия навсегда! Вячеслав Мезенцев 1 пользователям понравился этот постmicromega 09.10.2012 04:27:00 #3 Опубликовано: 09.10.2012 04:27:33 micromega 0 сообщений из 2 понравились пользователям. Группа: User Спасибо, это решает проблему. 1 страниц (3 вхождений) Новые сообщения Нет новых сообщений