1 Pages (5 items)
MAXIMA PLUGIN expand - Messages
#1 Posted: 5/21/2023 4:43:40 AM
Dose anyone know why using the function expand of maxima dosent work? Thanks
#2 Posted: 5/21/2023 5:39:28 AM
Any example of the problem? Use the paperclip button to attach screenshots.
Martin KraskaPre-configured portable distribution of SMath Studio: https://en.smath.info/wiki/SMath%20with%20Plugins.ashx
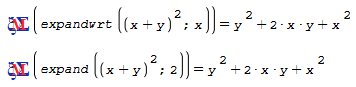
#3 Posted: 5/22/2023 1:41:47 PM
#4 Posted: 5/22/2023 4:15:35 PM
You have to use the functions correctly and you need to set optimization to None, otherwise SMath messes up the returned expression from Maxima.

Worksheet21.sm (3.74 KiB) downloaded 885 time(s).

Worksheet21.sm (3.74 KiB) downloaded 885 time(s).
Martin KraskaPre-configured portable distribution of SMath Studio: https://en.smath.info/wiki/SMath%20with%20Plugins.ashx
#5 Posted: 5/22/2023 4:26:47 PM
WroteYou have to use the functions correctly and you need to set optimization to None, otherwise SMath messes up the returned expression from Maxima.
Worksheet21.sm (3.74 KiB) downloaded 885 time(s).
GRACIAS
1 Pages (5 items)
- New Posts
- No New Posts
