Expand

Expand - How to get - Messages

#1 Posted: 8/5/2023 3:22:50 AM
Valery Ochkov

Valery Ochkov

66 likes in 672 posts.

Group: User

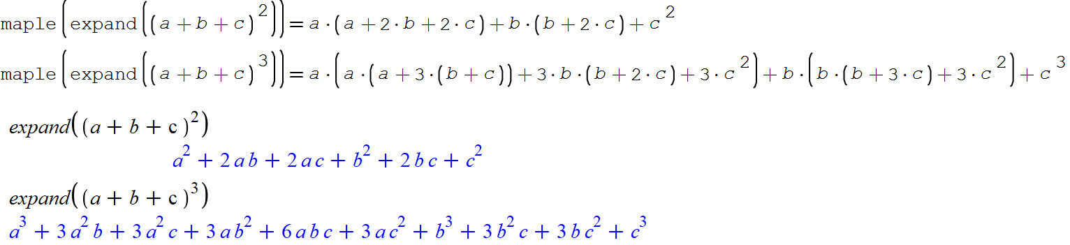
How in SMath get the answer as in Maple
SMath-Maple.png

Thanks
#2 Posted: 8/5/2023 5:47:20 AM
Вячеслав Мезенцев

Вячеслав Мезенцев

1,534 likes in 1,850 posts.

Group: Moderator

Click to enlarge
Russia ☭ forever, Viacheslav N. Mezentsev
1 users liked this post
Valery Ochkov 8/5/2023 7:02:00 AM
  • New Posts
  • No New Posts