1 Pages (7 items)
How to solve this symbolical - Maple in SMath - Messages
#1 Posted: 7/8/2023 12:36:53 PM
#3 Posted: 7/8/2023 1:10:17 PM
#4 Posted: 7/9/2023 1:42:37 AM
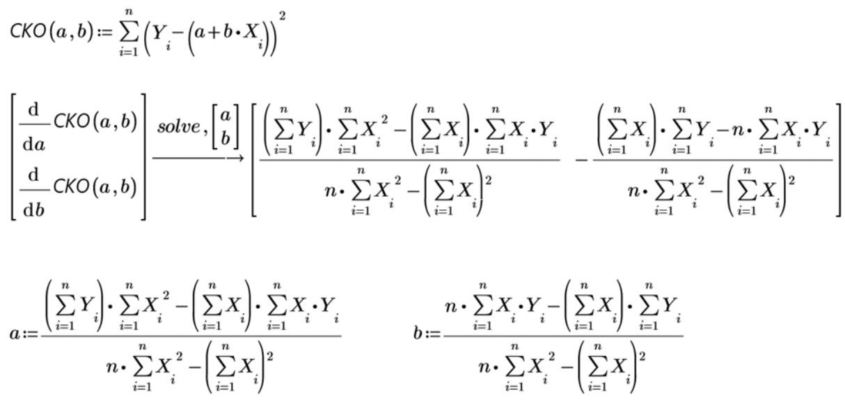
Hi. This is a way.
linregress.sm (17.05 KiB) downloaded 902 time(s).
linregress.pdf (85.29 KiB) downloaded 531 time(s).
Best regards.
Alvaro.
linregress.sm (17.05 KiB) downloaded 902 time(s).
linregress.pdf (85.29 KiB) downloaded 531 time(s).
Best regards.
Alvaro.
1 users liked this post
Valery Ochkov 7/9/2023 3:51:00 AM
#5 Posted: 7/9/2023 3:54:15 AM
WroteHi. This is a way.
linregress.sm (17.05 KiB) downloaded 902 time(s).
linregress.pdf (85.29 KiB) downloaded 531 time(s).
Best regards.
Alvaro.
Thanks!
But what is it?
1 C:=Sum...
2 ans:=...
#6 Posted: 7/9/2023 4:47:30 AM
Wrote...
Thanks!
But what is it?
1 C:=Sum...
2 ans:=...
It's a maple component from the maple tools plugin. You must to have it at the insert menu:

Best regards.
Alvaro.
1 Pages (7 items)
- New Posts
- No New Posts



