1 Pages (8 items)
Transfer function - Is there a transfer function in Smath? - Messages
#1 Posted: 4/2/2023 8:57:22 AM
Hello. Can I calculate some transfer function in Smath?
W(p)= 1 / (T*p+1) - for example
W(p)= 1 / (T*p+1) - for example
#2 Posted: 4/2/2023 9:43:15 AM
#3 Posted: 4/2/2023 10:01:52 AM
Russia ☭ forever, Viacheslav N. Mezentsev
#4 Posted: 4/2/2023 10:49:12 AM
#5 Posted: 4/2/2023 1:06:32 PM
Непонятно что именно нужно сделать. Надо более точно сформулировать задачу.
Набить формулы не сложно - нижний индекс вводится при помощи точки. Греческие символы доступны в панели инструментов.

Matematika_v_SMath_Studio_Uchebnoe_posobie_2022.pdf (3.8 MiB) downloaded 2250 time(s).
Набить формулы не сложно - нижний индекс вводится при помощи точки. Греческие символы доступны в панели инструментов.

Matematika_v_SMath_Studio_Uchebnoe_posobie_2022.pdf (3.8 MiB) downloaded 2250 time(s).
Russia ☭ forever, Viacheslav N. Mezentsev
#6 Posted: 4/2/2023 6:13:24 PM
WroteHello. Can I calculate some transfer function in Smath?
W(p)= 1 / (T*p 1) - for example
Your function is an ordinary hyperbolic function.
It is not a transfer function.
A Transfer Function [XFR] is the graphical representation
of a dependent phenomenon subjected to an impulse step.
It is represented in term(s) of Laplace algebra,
then processed via maple of else compatible CAS.
That said, an XFR always starts @ 0, then asymptotic to impulse.
Minimalist example demo.
#7 Posted: 4/3/2023 9:41:01 AM
WroteНепонятно что именно нужно сделать. Надо более точно сформулировать задачу.
Набить формулы не сложно - нижний индекс вводится при помощи точки. Греческие символы доступны в панели инструментов.
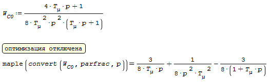
Да, какую-то ерунду я спросил, дав за образец уже готовое преобразованное уравнение)) Возможно ли сократить это выражение в Smath или посчитать его в виде дроби в конце. Что-то в итоге: 0,34Зр/274+р+1, как делает матлаб
#8 Posted: 4/3/2023 9:54:03 AM
Использовать maple(covert(W(p),parfrac,p)) или maple(covert(W(p),fullparfrac,p)).

maple-covert-parfrac.sm (4.63 KiB) downloaded 949 time(s).

maple-covert-parfrac.sm (4.63 KiB) downloaded 949 time(s).
Russia ☭ forever, Viacheslav N. Mezentsev
1 users liked this post
TopUser2000 4/3/2023 10:29:00 AM
1 Pages (8 items)
- New Posts
- No New Posts