1 Pages (15 items)
Bug (or wrong use?) of 'At()' - Inconsistent results - Messages
#1 Posted: 3/12/2019 6:54:06 AM
Hi,
I starting with smath and still try easy examples.
Is found the results of at() to be inconstistent,
but it may be an bad understandig. Could someone review
my appended file?
Many thanks, Johannes
Bug in at.sm (20.62 KiB) downloaded 746 time(s).
I starting with smath and still try easy examples.
Is found the results of at() to be inconstistent,
but it may be an bad understandig. Could someone review
my appended file?
Many thanks, Johannes
Bug in at.sm (20.62 KiB) downloaded 746 time(s).
#2 Posted: 3/12/2019 7:08:03 AM
It is by design. If you give multiple replacement rules for the same variable ( x=a then x=b ) only the first is used (tbf there's no filter on how many times you can enter the same variable name on the LHS, thus the function tries even to evaluate x in b, but x doesn't exists anymore since is already evaluated in a)
If you like my plugins please consider to support the program buying a license; for personal contributions to me: paypal.me/dcprojects
#3 Posted: 3/12/2019 7:12:20 AM
But why is it different for the two definitions of L?
Or does it look equal for you? (Than it may only occur for me.)
Or does it look equal for you? (Than it may only occur for me.)
#4 Posted: 3/12/2019 7:23:08 AM
Sorry, I'm on a linux machine right now and I missed a part of the document, my comment was about the first yellow region without maxima. 
If you like my plugins please consider to support the program buying a license; for personal contributions to me: paypal.me/dcprojects
#5 Posted: 3/12/2019 8:35:59 AM
#6 Posted: 3/12/2019 8:51:00 AM
L is differently defined in the two versions (use the dynamic assistant by mouse hovering over the definitions to see the difference)
in the second case, L isnt't stored in evaluated shape, thus vectorize() doesn't recognise the expression as vector and executes the expression only once.
in the second case, L isnt't stored in evaluated shape, thus vectorize() doesn't recognise the expression as vector and executes the expression only once.
Martin KraskaPre-configured portable distribution of SMath Studio: https://en.smath.info/wiki/SMath%20with%20Plugins.ashx
#7 Posted: 3/12/2019 9:24:44 AM
#8 Posted: 3/12/2019 10:19:30 AM
#9 Posted: 3/12/2019 10:35:02 AM
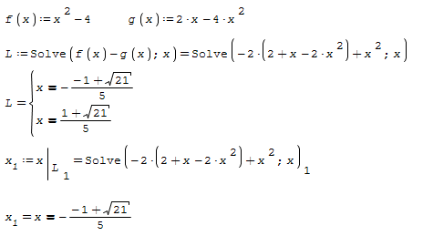
This is the numerical solution.
My question is about assignin symbolic results.
In the example you see mkraska using L:=Solve(,), and assigning the results.
In my try, you see the result is not assigned as expected,
last line shows
x.1= x=result
but it should be
x.1=result.
My question is about assignin symbolic results.
In the example you see mkraska using L:=Solve(,), and assigning the results.
In my try, you see the result is not assigned as expected,
last line shows
x.1= x=result
but it should be
x.1=result.
#10 Posted: 3/12/2019 11:40:18 AM
#11 Posted: 3/12/2019 12:21:16 PM
It seems that the evaluation logic in the plug-in interface has changed.
The function Solve() indeed shows a different behaviour (not evaluated/simplified when used in definitions, as if it was behind a line operator)
Other functions like int() don't seem to be affected by the problem.

Blatt39.sm (6.81 KiB) downloaded 812 time(s).
The function Solve() indeed shows a different behaviour (not evaluated/simplified when used in definitions, as if it was behind a line operator)
Other functions like int() don't seem to be affected by the problem.

Blatt39.sm (6.81 KiB) downloaded 812 time(s).
Martin KraskaPre-configured portable distribution of SMath Studio: https://en.smath.info/wiki/SMath%20with%20Plugins.ashx
#12 Posted: 3/12/2019 4:53:29 PM
WroteThis is the numerical solution.
My question is about assignin symbolic results.
In the example you see mkraska using L:=Solve(,), and assigning the results.
In my try, you see the result is not assigned as expected,
Users keep complaining about Maxima from SS versions/versions.
Maple/Smath are more stable companions.
#13 Posted: 3/12/2019 6:02:12 PM
Wrote
Users keep complaining about Maxima from SS versions/versions.
Maple/Smath are more stable companions.
Jean, I know that many users don't care, but once you vote for maple, can you tell me under what license it is distributed?
Is it legally safe to use it in public service like university? Can it be recommended under the light of respect for IP?
Martin KraskaPre-configured portable distribution of SMath Studio: https://en.smath.info/wiki/SMath%20with%20Plugins.ashx
#14 Posted: 3/12/2019 9:32:35 PM
WroteJean, I know that many users don't care, but once you vote for maple, can you tell me under what license it is distributed?
Is it legally safe to use it in public service like university? Can it be recommended under the light of respect for IP?
Martin, you have several specific questions that only Andrey can answer.
Maxima was formerly MacSyma, originally piloted by the MIT, conjointly
MIT/University of Toronto. MIT pedaled too long in butter, so that this
branch of research founded itself "Maple Waterloo".
Most of the stuff was borrowed from book.
My understanding is that: part of Maple is courtesy to Smath whereas
Smath is freeware. Viacheslav is the guru Maple/Smath, is it ?
Probably same as the Matlab "mwXXX" ... odesolvers ... etc.
Jean
1 Pages (15 items)
- New Posts
- No New Posts




