Beta: SMath Studio 0.99.7250 (07 November 2019) - Messages
SMath Studio
Tiny, but powerful mathematical program with WYSIWYG editor and complete units of measurements support.
It provides numerous computing features and rich user interface translated into about 40 different languages. Application also contains integrated mathematical reference book.
Application can be easily extended based on your needs. Built-in Extensions Manager tool allows to get access to hundreds official and third-party resources of the following types: usage examples, plug-ins, SMath Viewer based applications, snippets, interface translations, interactive books, handbooks and tutorials.
Changes introduced in current build 0.99.7250
Corrections
- SS-4620: Scrolling of the focused Plot Region cannot accidentally scroll the whole document anymore.
Miscellaneous
- SS-4613: Formula item in Insert menu is translated + shortcut corrected for different environments;
- Symbolic engine improvements;
- Refactoring.
Download
SMathStudioDesktop.0_99_7250.Mono.tar.gz (1.4 MiB) downloaded 1632 time(s).
SMathStudioDesktop.0_99_7250.Setup.msi (2.28 MiB) downloaded 3477 time(s).
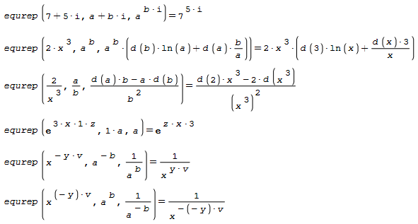
To show some results I've made available equrep(3) function which is hidden from auto-completion list and other places. It demonstrates possibilities to manipulate with complex structure of different equations. I'm not sure if anyone interested in this function at all, but under the hood it is used almost for every calculation in the program.
This function has three arguments:
- First is a given equation (anything to manipulate with);
- Second is an input for manipulation rule;
- Third is an output of manipulation rule.
In other words it allows to apply some manipulation (described in two last arguments) to an equation (from the first argument).
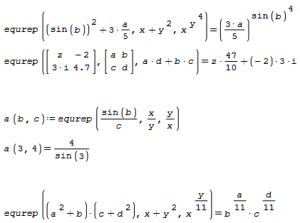
Some examples:



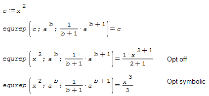
Do not forget to set Optimization=None if you want to see exact result without any extra numeric or symbolic optimization.
Best regards.
Wrote
This function has three arguments:
- First is a given equation (anything to manipulate with);
- Second is an input for manipulation rule;
- Third is an output of manipulation rule.
In other words it allows to apply some manipulation (described in two last arguments) to an equation (from the first argument).
looks promising. Maybe, this might simplify restructuring of terms inside plugins.
As it seems, the function does not preprocess it's first argument. The definition of c isn't during the call of eqnrep when running the sheet step by step.
I see that the structure patterns should be unevaluated otherwise you would rely on having the variables therein being undefined in the sheet.
How about a function or a flag enforcing preprocessing?
equrep.sm (5.56 KiB) downloaded 1037 time(s).

File not found.File not found.
Расчеты делаю в Вашей программе, затем вывожу на печать в формат PNG и вставляю результат в Word.
Возникает проблема с блоками, отмеченных как "Запретить вычисление". Раньше над ними (в правом верхнем углу) был прямоугольник, сейчас они отмечены серым фоном. А с ним как раз и беда.
Что можно сделать?
На просмотре так:
На печати так:
Как видно не все блоки напечатаны, причем некоторые из нерасчетных были всё же напечатаны.
Ранее (когда не было фона) таких проблем не возникало.
Для печати использую виртуальный принтер pdf24.
Стандартный экспорт в PNG формат не делит на страницы, так бы им пользовался (там кстати проблем нет).
Пока вышел из ситуации с помощью скриншотов. Костыль конечно, но ничего не поделать.

D.sm (14.41 KiB) downloaded 1037 time(s).
Best regards.
Alvaro.
laplace.pdf (154.08 KiB) downloaded 602 time(s).
laplace.sm (84.52 KiB) downloaded 1102 time(s).
Best regards.
Alvaro.
WroteI don't understand the maple fake [isol].
I like native. I wish items like Writer Region would go native too.
WroteI wish items like Writer Region would go native too.
That's in the plans, but it requires some new things and some refactoring before this step.
WroteI like native.I wish items like Writer Region would go native too.
That means an extra icon in menu or special key.
Finally: did you manage your translucent background ?
Did you manage the *.PDF c/w the translucent like original ?
When Isolating in either the snippet or Maple, is there a way to force the symbolic engine? I tried using after some of the variables were defined (Yes, I used CTRL+=) and they both work prior to variable assignments. The issue is that many times, we define the variables and further down the calculation shows the equation ... that I'd like to manipulate. I tried setting optimization to none and symbolic, both failed
OK. Better documentationWroteThat means an extra icon in menu or special key.
YesWroteFinally: did you manage your translucent background ?
PNG and yes. The graphic I was sent had very rich colors, almost like the flowers in the example. It was hard to see the text/calculationWroteDid you manage the *.PDF c/w the translucent like original ?
WroteAlvaro or Jean,
When Isolating in either the snippet or Maple, is there a way to force the symbolic engine? I tried using after some of the variables were defined (Yes, I used CTRL+=) and they both work prior to variable assignments. The issue is that many times, we define the variables and further down the calculation shows the equation ... that I'd like to manipulate. I tried setting optimization to none and symbolic, both failed
Hi ElSid. I know that SMath carry the definitions instead the values, and with symbolics there are not an eval equivalent. But without an specific example, this is what I get

Best regards.
Alvaro.
The space between the equations has some variables "defined". Maybe what I'm looking for is a feature request. I have the same issue with Maple plugin.
Essentially, I'm transferring a hand calculation and wanted to show all the steps in order. It does not make sense to isolate and manipulate an equation that is not used for 3 pages ... it's out of sequence and out of context
This screenshot is valid for both optimization=symbolic and none
Wrote... Maybe what I'm looking for is a feature request. I have the same issue with Maple plugin. ...
Hi ElSid. I guess that what you want is the 'x:=x' mathcad feature, which hide the value of x for the symbolic processor, but not for the numeric one. This is a mathcad 11 screenshot

Best regards.
Alvaro.
I wonder if, since equrep(3) now gives access to smath's internal representation it should be possible to get this "engineering" way of writing equations, discussed in many posts since many years, like here: https://en.smath.com/forum/yaf_postsm47997_Display-numbers-in-equations.aspx
to summarise:
a:=2
b:=pi
p:=a*b ------------------- symbolic equation
=2*3.14 ----------- equation with variables replaced by their values (with control of their format, accuracy, etc.)
=6.28 -------------- numerical result
This is a numerical equivalent of the visual control that was available to civil engineers at the time of graphics statics. It gives an immediate feel of the magnitude of values, their accuracy and relevance for the result.
We can easily do as below:
a:=2
b:=3
p:=a*b ----------------------------- (definition)
equrep(p:=a*b,x,x)=2*3 ------------- (no optimisation)
equrep(p:=a*b,x,x)=6 --------------- (numeric optimisation)
and by not displaying input data:
p:=a*b
2*3
6
However the middle equation becomes unreadable as soon as we have values that are not round numbers, so we also need to control the format of the values of variables in the middle equation, and to insert some "=" in-between.
This is much beyond my ability!
If anyone had some idea how to do something close to that, that would help some structural engineers!
Thanks,
Laurent
WroteThis time I've spent many time on improvements of symbolic engine to make it more safe and predictable.
To show some results I've made available equrep(3) function which is hidden from auto-completion list and other places. It demonstrates possibilities to manipulate with complex structure of different equations. I'm not sure if anyone interested in this function at all, but under the hood it is used almost for every calculation in the program.
- New Posts
- No New Posts



