3D plot CKO(a, b)

3D plot CKO(a, b) - I have two 2D plots, but not one 3D plot - Messages

#1 Posted: 10/12/2023 4:26:52 AM
Valery Ochkov

Valery Ochkov

65 likes in 671 posts.

Group: User

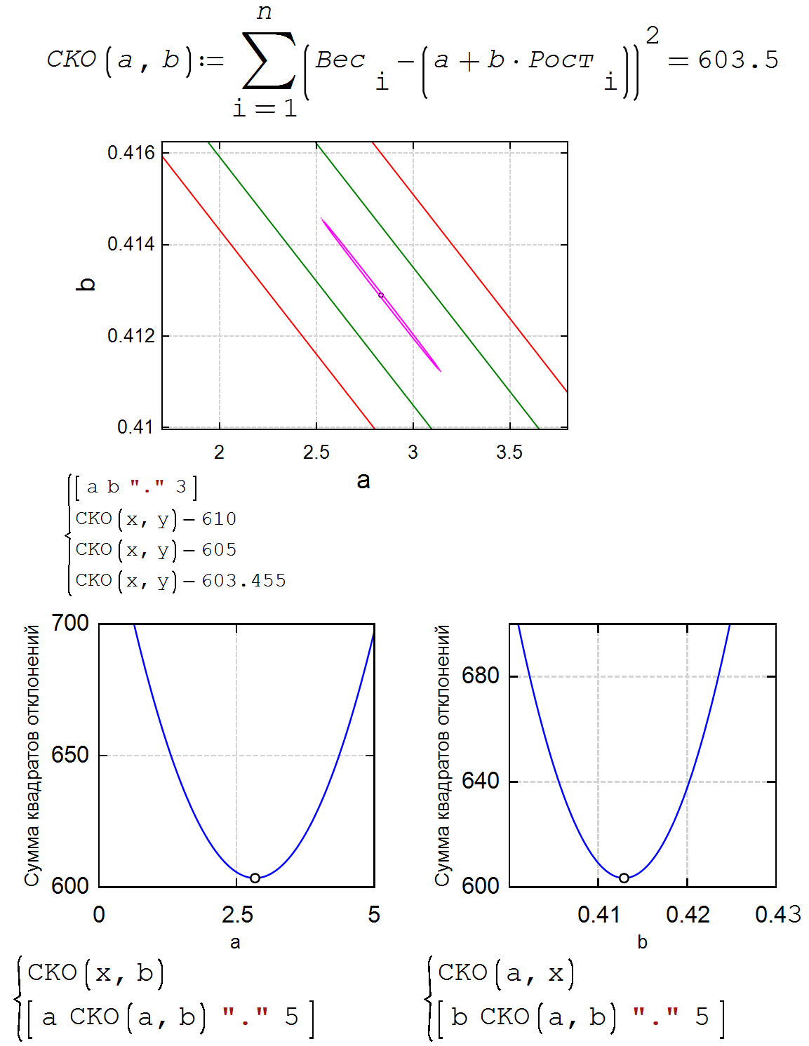
I have two 2D plots, but not one 3D plot with the minimum point.
Help please!
6-1-Mister-Class.sm (21.77 KiB) downloaded 815 time(s).
#2 Posted: 10/12/2023 5:09:09 AM
Alvaro

Alvaro

1,078 likes in 1,750 posts.

Group: User

Hi Valery. This is a way.

6-1-Mister-Class.sm (27.39 KiB) downloaded 806 time(s).

Best regards.
Alvaro.
1 users liked this post
Valery Ochkov 10/12/2023 5:43:00 AM
#3 Posted: 10/12/2023 5:44:46 AM
Valery Ochkov

Valery Ochkov

65 likes in 671 posts.

Group: User

Wrote

Hi Valery. This is a way.

6-1-Mister-Class.sm (27.39 KiB) downloaded 806 time(s).

Best regards.
Alvaro.



Thanks, but better so - a counter plot
6-1-Mister-Class.sm (30.03 KiB) downloaded 795 time(s).
6-3-CKO.png
#4 Posted: 10/12/2023 2:47:57 PM
Alvaro

Alvaro

1,078 likes in 1,750 posts.

Group: User

Hi. Choosing CKO as z and using small ranges.

6-1-Mister-Class 3D.sm (41.91 KiB) downloaded 816 time(s).

Clipboard01.png

Best regards.
Alvaro.
1 users liked this post
Valery Ochkov 10/12/2023 2:53:00 PM
  • New Posts
  • No New Posts