1 Pages (8 items)
Differentiation operator does not evaluate symbolically - Translate a differential operator from SMath to Maxima - Messages
#1 Posted: 5/30/2020 9:46:04 PM
Hello,
Do you know why or what could be the problem for SMath not translating properly a dy/dx. I need to write these operators in Maxima to solve a differential equation...

Thanks in advance,
Alvaro
Differentiation.sm (9.34 KiB) downloaded 725 time(s).
Do you know why or what could be the problem for SMath not translating properly a dy/dx. I need to write these operators in Maxima to solve a differential equation...

Thanks in advance,
Alvaro
Differentiation.sm (9.34 KiB) downloaded 725 time(s).
#2 Posted: 5/30/2020 10:23:02 PM
I have found a workaround, with eval_string() from Maxima.

Differentiation.sm (13.39 KiB) downloaded 705 time(s).

Differentiation.sm (13.39 KiB) downloaded 705 time(s).
#3 Posted: 5/30/2020 11:55:54 PM
WroteHello,
Do you know why or what could be the problem for SMath not translating properly a dy/dx. I need to write these operators in Maxima to solve a differential equation...
...
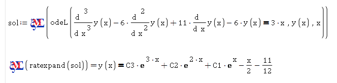
Hola tocayo. Is this the problem?: always it is diff(y,x)=0, but diff(y(x),x) remains unevaluated and is the correct form to express the derivative of a function.
Best regards.
Alvaro.
1 users liked this post
frapuano 5/31/2020 4:51:00 AM
#4 Posted: 5/31/2020 12:16:30 AM
#5 Posted: 5/31/2020 8:12:03 AM
You are mixing two CAS that will not pass QA [Quality Assurance].
My understanding is that what was usable from Maxima is native in Smath.
Smath native derivative operator works from book library.
sin(x), ln(x), exp(x) ... OK
Gamma(x), erf(x) ... zap. We have them otherwise.
Cheers ... Jean
Differentiation.sm (17.82 KiB) downloaded 721 time(s).
My understanding is that what was usable from Maxima is native in Smath.
Smath native derivative operator works from book library.
sin(x), ln(x), exp(x) ... OK
Gamma(x), erf(x) ... zap. We have them otherwise.
Cheers ... Jean
Differentiation.sm (17.82 KiB) downloaded 721 time(s).
#6 Posted: 5/31/2020 10:29:55 AM
Thank you Jean, I am trying to test some symbolic solutions of differential equations just for a course video where I show some of the capabilities that are not present in Mathcad (Prime).
#7 Posted: 5/31/2020 12:42:32 PM
WroteThank you Jean, I am trying to test some symbolic solutions of differential equations just for a course video where I show some of the capabilities that are not present in Mathcad (Prime).
Very few DE have symbolic solutions, unless from Handbooks.
Few of them are available in Smath ... will be back on that.
#8 Posted: 5/31/2020 6:46:56 PM
WroteI am trying to test some symbolic solutions of differential equations just for a course video where I show some of the capabilities that are not present in Mathcad (Prime).
If Mathcad Prime does not solve those attached ... Oh !
Cheers ... Jean.
ODE Symbolic 4_Flies.sm (130.62 KiB) downloaded 746 time(s).
ODE Symbolic Bernoulli.sm (11.38 KiB) downloaded 744 time(s).
ODE_Laplace 1rst [Type 2].sm (22.68 KiB) downloaded 564 time(s).
ODE Symbolic Verhulst [Logistic].sm (25.55 KiB) downloaded 615 time(s).
ODE Symbolic Lambert.sm (21.81 KiB) downloaded 732 time(s).
ODE_Laplace 1rst [Type 1].sm (24.7 KiB) downloaded 571 time(s).
ODE_Laplace 2nd [Type 3].sm (34.62 KiB) downloaded 654 time(s).
ODE Symbolic Eiffel.sm (21.45 KiB) downloaded 700 time(s).
1 Pages (8 items)
- New Posts
- No New Posts
