1 Pages (14 items)
Solve & Roots - Mathcad OK, SMath not OK - Messages
#1 Posted: 5/22/2023 7:30:56 AM
#2 Posted: 5/22/2023 8:10:47 AM
WroteWhy no solution?
Units?
With Roots and without units - OK!
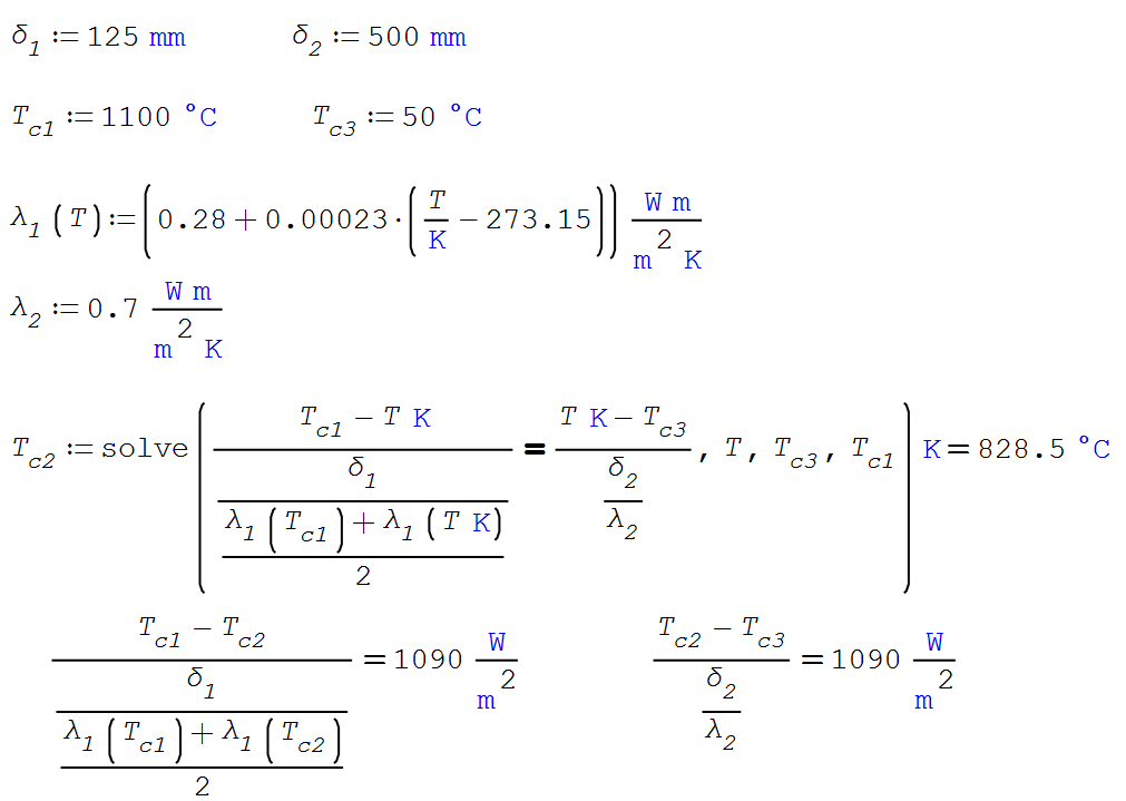
Krasnoshchekov-Sukomel-10-10.sm (209.72 KiB) downloaded 817 time(s).
#3 Posted: 5/22/2023 9:10:10 AM
#4 Posted: 5/22/2023 10:11:59 AM
Wroteroot is undocumented in Smath. However, we have applications.
Solve Inverse [Seeded Scanner QUICK TRACK] Copy.sm (150.91 KiB) downloaded 666 time(s).
#6 Posted: 5/22/2023 1:17:54 PM
#7 Posted: 5/22/2023 5:55:55 PM
WroteSend please the SMath file!
Krasnoshchekov-Sukomel-10-10_findroot.sm (206.95 KiB) downloaded 803 time(s).
1 users liked this post
Valery Ochkov 5/23/2023 1:43:00 AM
#8 Posted: 5/23/2023 1:42:30 AM
#10 Posted: 5/23/2023 9:55:23 AM
#11 Posted: 5/23/2023 10:52:57 AM
WroteCan we do it with the roots function with 2 or more equations and unknowns?
Please, attach a document to evaluate the request.
#12 Posted: 5/23/2023 11:05:22 AM
#13 Posted: 5/23/2023 11:33:39 AM
WroteWroteCan we do it with the roots function with 2 or more equations and unknowns?
Please, attach a document to evaluate the request.
Sorry, done myself.

Krasnoshchekov-Sukomel-Alan.sm (13.42 KiB) downloaded 849 time(s).
1 Pages (14 items)
- New Posts
- No New Posts




