Дополнение MapleWrapper - уни - Messages
Список функций: maple().
Назначение: Использование вычислительных возможностей математической программы Maple V Release 5 (консольной версии).
Особенности:
1. Дополнение самодостаточно и не требует специальной установки Maple.
2. Команда передаётся Maple через функцию посредник maple(). Можно выполнять как символьные так и численные вычисления, если это возможно.
3. Maple имеет своё пространство переменных и ничего не знает об определениях внутри SMath Studio, но перед передачей введённого выражения оно преобразуется к виду, ему понятному.
4. Можно выполнять только одну команду, но вложенность без ограничений.
5. В папке [plugin]/mvr5/ после каждого запуска SMath Studio создаётся специальный лог-файл mvr5.txt, в котором прозрачно отображается обмен информацией между Maple и SMath Studio. Если что-то не работает, то лучше всего показать этот файл, а не снимок экрана. После завершения работы с программой лог-файл автоматически удаляется.
6. В папке [plugin]/mvr5/ находится файл with.inc, его содержимое подставляется перед тем, что введено в функции maple(). Обычно туда нужно вставлять команды подключения различных модулей из библиотеки Maple.
Ограничения:
1. Далеко не все команды могут быть введены, т.к. интерфейс SMath Studio просто не даст этого сделать.
2. Maple поддерживает гораздо больше типов, чем SMath Studio, поэтому нужно пользоваться только теми функциями, работа которых связана с числами, векторами, матрицами, некоторыми символьными вычислениями.
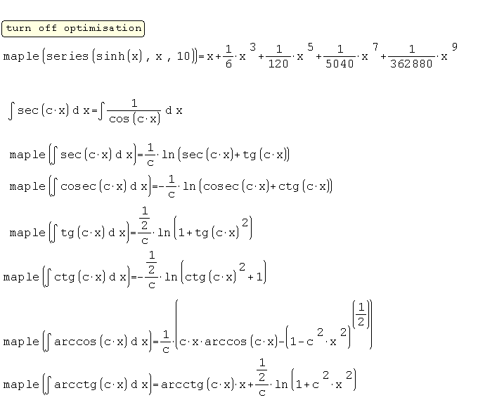
Использование: Внутри функции maple() вписываете команду Maple и нажимаете [Ctrl]+[.] (символьные вычисления/оптимизация). Параметрами могут быть переменные или функции, определённые в документе.
История изменений:
05.05.2013 - завершены все намеченные функции дополнения.
Примеры:


Назначение: Использование вычислительных возможностей математической программы Maple V Release 5 (консольной версии).
Особенности:
1. Дополнение самодостаточно и не требует специальной установки Maple.
2. Команда передаётся Maple через функцию посредник maple(). Можно выполнять как символьные так и численные вычисления, если это возможно.
3. Maple имеет своё пространство переменных и ничего не знает об определениях внутри SMath Studio, но перед передачей введённого выражения оно преобразуется к виду, ему понятному.
4. Можно выполнять только одну команду, но вложенность без ограничений.
5. В папке [plugin]/mvr5/ после каждого запуска SMath Studio создаётся специальный лог-файл mvr5.txt, в котором прозрачно отображается обмен информацией между Maple и SMath Studio. Если что-то не работает, то лучше всего показать этот файл, а не снимок экрана. После завершения работы с программой лог-файл автоматически удаляется.
6. В папке [plugin]/mvr5/ находится файл with.inc, его содержимое подставляется перед тем, что введено в функции maple(). Обычно туда нужно вставлять команды подключения различных модулей из библиотеки Maple.
Ограничения:
1. Далеко не все команды могут быть введены, т.к. интерфейс SMath Studio просто не даст этого сделать.
2. Maple поддерживает гораздо больше типов, чем SMath Studio, поэтому нужно пользоваться только теми функциями, работа которых связана с числами, векторами, матрицами, некоторыми символьными вычислениями.
Использование: Внутри функции maple() вписываете команду Maple и нажимаете [Ctrl]+[.] (символьные вычисления/оптимизация). Параметрами могут быть переменные или функции, определённые в документе.
История изменений:
05.05.2013 - завершены все намеченные функции дополнения.
Примеры:


Россия навсегда!
Вячеслав Мезенцев
В принципе можно пока подключить консольный вариант MapleV R4.

В архиве находится сам плагин и минимальный набор файлов для работы MapleV R4:
- сама среда MAPLEDOS.EXE;
- библиотека MAPLE.LIB (папка LIB );
- файлы лицензий (папка LICENSE).
Разархивируйте с путями. Можно попробовать брать интегралы, пределы, производные. Пока не шибко много. Для полноценной работы нужно придумать соглашение по преобразованию синтаксиса в обе стороны.
П.С. В первой версии нет переформатирования синтаксиса в зависимости от настроек программы. Я забыл, что их можно менять, поэтому пока для тестирования придётся устанавливать такие: ',' - для десятичной точки и ';' для разделения параметров.

В архиве находится сам плагин и минимальный набор файлов для работы MapleV R4:
- сама среда MAPLEDOS.EXE;
- библиотека MAPLE.LIB (папка LIB );
- файлы лицензий (папка LICENSE).
Разархивируйте с путями. Можно попробовать брать интегралы, пределы, производные. Пока не шибко много. Для полноценной работы нужно придумать соглашение по преобразованию синтаксиса в обе стороны.
П.С. В первой версии нет переформатирования синтаксиса в зависимости от настроек программы. Я забыл, что их можно менять, поэтому пока для тестирования придётся устанавливать такие: ',' - для десятичной точки и ';' для разделения параметров.
Россия навсегда!
Вячеслав Мезенцев
Годно. Только хотелось бы кроссплатформенности
неофициальный справочник https://sites.google.com/site/mikkhalichlab/home
jabber конференция smath@conference.jabber.ru
В принципе, это возможно. Я не помню можно ли под Wine'ом запускать чисто досовские проги, если да, то небольшая переделка и это будет там работать. У меня сейчас нет убунты под рукой, так что попробовать не на чем.
Вообще, плагин требует допилки и доработки в плане соглашений по преобразованиям выражений. Пока можно скачать дистрибутив, там есть досовский maple в миниатюре и попробовать его запустить. Если запустится и команды по работе с файлами будут там работать, то я могу адаптировать плагин под Линукс. Он написан на чистом C#, поэтому будет работать под Mono.
Вообще же, это костыль до появления чего-то своего. Судя по тому, что я наблюдал в репозитории, до чего-то своего пока далеко в плане даже повторения результатов 50-летней давности. Не в обиду будет сказано.
Вообще, плагин требует допилки и доработки в плане соглашений по преобразованиям выражений. Пока можно скачать дистрибутив, там есть досовский maple в миниатюре и попробовать его запустить. Если запустится и команды по работе с файлами будут там работать, то я могу адаптировать плагин под Линукс. Он написан на чистом C#, поэтому будет работать под Mono.
Вообще же, это костыль до появления чего-то своего. Судя по тому, что я наблюдал в репозитории, до чего-то своего пока далеко в плане даже повторения результатов 50-летней давности. Не в обиду будет сказано.
Россия навсегда!
Вячеслав Мезенцев
Завести под вайном чисто досовские проги проблемм не составит. Меня больше беспокоит необходимость запускать костыль maple в еще одном костыле - wine. На сколько мне помнится, есть нативная линуксовая maple. Если возможно, то лучше использовать ее. Так как бы по-феншуйнее будет
неофициальный справочник https://sites.google.com/site/mikkhalichlab/home
jabber конференция smath@conference.jabber.ru
Чуть-чуть изменил плагин-посредник для досовской версии maple V R4. Папки LICENSE и LIB должны быть рядом с папкой plugins, т.к. MAPLEDOS.EXE ищет их на уровень выше. Сам же файл MAPLEDOS.EXE должен находиться рядом с плагином mvr4.dll. В архиве также находится pdf с примером использования.
Россия навсегда!
Вячеслав Мезенцев
Обновил. Тестируемый плагин пока дорабатывается, возможности исследуются.

Россия навсегда!
Вячеслав Мезенцев
Плагин обновлён. Теперь на основе Maple V R5. Может гораздо больше, чем предыдущий. Постепенно буду улучшать.

Россия навсегда!
Вячеслав Мезенцев
1 users liked this post
Serg 1/25/2014 1:39:00 PM
Обновил. Пример нелинейной регрессии на основе плагина и метода Драгилева по решению систем нелинейных уравнений.


Россия навсегда!
Вячеслав Мезенцев
запили пжл инструкцию по использованию на вики или https://sites.google.com/site/mikkhalichlab/home
неофициальный справочник https://sites.google.com/site/mikkhalichlab/home
jabber конференция smath@conference.jabber.ru
Так инструкции в примерах в архиве лежат, смотришь как там сделано и делаешь также. А в остальном нужно немного владеть мэплом. Если что-то не работает как надо, то присылаешь мне логфайл mvr5.txt из папки с файлом cmaple.exe.
Инструкция проста: maple( выражение ) ->
Инструкция проста: maple( выражение ) ->
Россия навсегда!
Вячеслав Мезенцев
скажи кого ты убил что бы иметь возможность задавать неопределенный интеграл? я так и не допер как его вставить. int() добавляет определенный интеграл с границами интегрирования.
неофициальный справочник https://sites.google.com/site/mikkhalichlab/home
jabber конференция smath@conference.jabber.ru
Пишешь int ручками, ставишь запятую или точку с запятой в зависимости от настроек.
Россия навсегда!
Вячеслав Мезенцев
Уни, Я очень бы хотел воспользоваться вашим плагином, но происходит следуюшее:
после открытия фаила появляется на мгновение правильный результат работы maple(),
а потом поверх него выводится строка "empty". Как же заставить его работать ?
после открытия фаила появляется на мгновение правильный результат работы maple(),
а потом поверх него выводится строка "empty". Как же заставить его работать ?
Нужно указать версию ОС, версию SMath, а также показать лог файл, который формируется при работе плагина. Лог файл находится в папке с командным интерпретатором cmaple.exe, называется mvr5.txt.
Вообще, это странное поведение. Возможно, что используется слишком сложная конструкция запроса, некоторые инструкции, возвращаемые maple не имеют эквивалента в smath, пэтому не все результаты могут адекватно визуализироваться визуальным движком, что может приводить к нежидаемым эффектам.
Вообще, это странное поведение. Возможно, что используется слишком сложная конструкция запроса, некоторые инструкции, возвращаемые maple не имеют эквивалента в smath, пэтому не все результаты могут адекватно визуализироваться визуальным движком, что может приводить к нежидаемым эффектам.
Россия навсегда!
Вячеслав Мезенцев
1 users liked this post
Igor Skarine 10/25/2012 4:03:00 PM
Обновлено. Плагин практически завершён, что хотел от него, то сделал. Остальное по запросам.
Россия навсегда!
Вячеслав Мезенцев
SMath Studio запускается с правами администратора? Пока я храню временные файлы в Program Files, но нужно, конечно, их переместить в папку текущего пользователя.
Россия навсегда!
Вячеслав Мезенцев
Уни,
Вчера удалось решить весьма сложную задачку при помощи Вашего символьного плагина.
До этого это было по-зубам только Математике и с некоторыми трудностями Маплу.
Маткад уже остался далеко позади.
К сожалению присутствовала доля неопределенности, например команды numer, denom, simplify
дублируются в Smath и в Maple и получается разный результат, не всегда правильный, в зависимости
от того, кто выполняет данную команду.
Почему-то очень странно работают collect, expand - делают что-то совсем не то, что ожидается.
Как отличить и разделить функции, которые выполняет плагин Maple и сам Smath ?
Всего доброго и дальнейших успехов !
P.S. Smath мне нравится все больше и больше из-за его управляемой способности к символьным вычислениям.
Вчера удалось решить весьма сложную задачку при помощи Вашего символьного плагина.
До этого это было по-зубам только Математике и с некоторыми трудностями Маплу.
Маткад уже остался далеко позади.
К сожалению присутствовала доля неопределенности, например команды numer, denom, simplify
дублируются в Smath и в Maple и получается разный результат, не всегда правильный, в зависимости
от того, кто выполняет данную команду.
Почему-то очень странно работают collect, expand - делают что-то совсем не то, что ожидается.
Как отличить и разделить функции, которые выполняет плагин Maple и сам Smath ?
Всего доброго и дальнейших успехов !
P.S. Smath мне нравится все больше и больше из-за его управляемой способности к символьным вычислениям.
Если что-то работает не так как ожидается, то нужно указать версию дополнения, приложить файл с примером расчета и лог, я посмотрю что к чему.
Вообще же, идеология такая. Внутри функции maple() должны выполняться приоритетно команды Maple. Я постепенно по мере необходимости разрешаю такие конфликты. Не все функции с одинаковыми именами экранированы таким образом.
Вообще же, идеология такая. Внутри функции maple() должны выполняться приоритетно команды Maple. Я постепенно по мере необходимости разрешаю такие конфликты. Не все функции с одинаковыми именами экранированы таким образом.
Россия навсегда!
Вячеслав Мезенцев
- New Posts
- No New Posts
