1 Pages (15 items)
Create a graph with x-y plot - Messages
#1 Posted: 2/11/2023 6:35:47 AM
Hey guys,
im trying to plot my function with x-yplot (addon) but it doesnt work. I will be happy if can someone can help me.
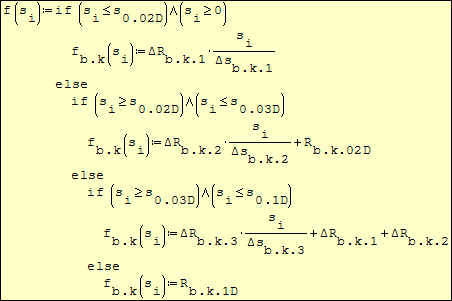
i define two functions (with If-clauses) and now I have to put it in x-y-plot.
Thanks for helping
Pfahlsetzungslinie.sm (101.89 KiB) downloaded 877 time(s).
im trying to plot my function with x-yplot (addon) but it doesnt work. I will be happy if can someone can help me.
i define two functions (with If-clauses) and now I have to put it in x-y-plot.
Thanks for helping
Pfahlsetzungslinie.sm (101.89 KiB) downloaded 877 time(s).
#2 Posted: 2/11/2023 9:51:05 AM
#3 Posted: 2/11/2023 11:27:05 AM
If you want to plot, you have to eliminate units.
Either by writing a unitless function, or using units while plotting.
I would rather second one.
Regards
Pfahlsetzungslinie.sm (112.67 KiB) downloaded 931 time(s).

Either by writing a unitless function, or using units while plotting.
I would rather second one.
Regards
Pfahlsetzungslinie.sm (112.67 KiB) downloaded 931 time(s).
#4 Posted: 2/11/2023 2:22:20 PM
hey guys thanks. (i tryed to give you a thanks but i always get an error)
it works now. Ive realized my mistakes.
i have 2 more question.
1. is it possible to rotate the graph or function? I wanna switch x and y axis
2. i wanna make the visible spectrum of x and y axis depent on a variable. like X-Axis Max=s1 and Min=s2
//sorry for my bad english
it works now. Ive realized my mistakes.
i have 2 more question.
1. is it possible to rotate the graph or function? I wanna switch x and y axis
2. i wanna make the visible spectrum of x and y axis depent on a variable. like X-Axis Max=s1 and Min=s2
//sorry for my bad english
#5 Posted: 2/11/2023 4:44:13 PM
#6 Posted: 2/11/2023 4:46:06 PM
... once the discrete data set in hand,
you can rotate by any angle as desired.
you can rotate by any angle as desired.
#7 Posted: 2/11/2023 5:58:06 PM
Wrote2. I wanna make the visible spectrum of x and y axis depend on a variable. like X-Axis Max=s1 and Min=s2
If I understand: once the discrete data set in hand,
very easy to range between Mi/Max.
Produce the discrete data set, I will terminate.
Cheers ... Jean.
#8 Posted: 2/12/2023 1:43:27 AM
Wrote... i have 2 more question.
1. is it possible to rotate the graph or function? I wanna switch x and y axis
2. i wanna make the visible spectrum of x and y axis depent on a variable. like X-Axis Max=s1 and Min=s2
Hi Beyaz.
1. Yes. For example you can use this technique over your functions

xy-yx-plot.sm (7.16 KiB) downloaded 892 time(s).
2. Yes. For example you can try to learn about how to use setprop in an XY plot region.
Best regards.
Alvaro.
#9 Posted: 2/12/2023 7:09:44 AM
question 2: solved after find this
https://en.smath.com/forum/yaf_postsm57205_X-Y-Plot-Region.aspx

but to rotate the graph like this it didnt work. i tried your suggestions. Pfahlsetzungslinie1.sm (80.01 KiB) downloaded 885 time(s).

https://en.smath.com/forum/yaf_postsm57205_X-Y-Plot-Region.aspx
but to rotate the graph like this it didnt work. i tried your suggestions. Pfahlsetzungslinie1.sm (80.01 KiB) downloaded 885 time(s).

#10 Posted: 2/12/2023 8:47:18 AM
Hi. You need to specify the XYPlot index. This is how to swap axis coordinates, and reverse the y-axis. I reduce the number of points in the XYPlot to 50.

Pfahlsetzungslinie1.sm (87.42 KiB) downloaded 922 time(s).
Best regards.
Alvaro.

Pfahlsetzungslinie1.sm (87.42 KiB) downloaded 922 time(s).
Best regards.
Alvaro.
#11 Posted: 2/12/2023 9:12:08 AM
WroteBut to rotate the graph like this it didn't work.
I tried your suggestions.
You haven't produced the discrete data set.
Cheers ... Jean.
Wanna Rotate.sm (14.34 KiB) downloaded 856 time(s).
#12 Posted: 2/12/2023 2:23:09 PM
#14 Posted: 2/13/2023 10:41:33 AM
Rotate XY.sm (486.01 KiB) downloaded 901 time(s).
1 Pages (15 items)
- New Posts
- No New Posts
