How to assign one of the item in a vector to a variable?

How to assign one of the item in a vector to a variable? - Messages

#1 Posted: 1/31/2021 12:44:01 AM
netsonicyxf

netsonicyxf

2 likes in 79 posts.

Group: User

Click to enlarge

The sm file is here: https://en.smath.com/forum/yaf_postsm67562_X-Y-Plot-Region.aspx#post67562
#2 Posted: 1/31/2021 2:17:08 AM
Alvaro

Alvaro

1,082 likes in 1,755 posts.

Group: User

Wrote


The sm file is here: https://en.smath.com/forum/yaf_postsm67562_X-Y-Plot-Region.aspx#post67562



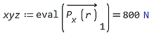
Almost same solution: use eval().

Clipboard02.jpg

Best regards.
Alvaro.
#3 Posted: 1/31/2021 3:04:33 AM
netsonicyxf

netsonicyxf

2 likes in 79 posts.

Group: User

Wrote

Wrote


The sm file is here: https://en.smath.com/forum/yaf_postsm67562_X-Y-Plot-Region.aspx#post67562



Almost same solution: use eval().

Clipboard02.jpg

Best regards.
Alvaro.



This works for me, Thank you.
  • New Posts
  • No New Posts