1 Pages (10 items)
simple integrals give give difficult results - Messages
#1 Posted: 8/12/2019 4:52:05 PM
Integrating the simple functions 1/x, 1/x², 1/x³ upwards from 1 give correct results for low values of the upper limit but with the upper limit in the order of 200 or higher the results are not what I would expect. Please see the attached worksheet.
Is there a problem with the integral function or is there something I haven't grasped?
H
integral.sm (5.38 KiB) downloaded 701 time(s).
Is there a problem with the integral function or is there something I haven't grasped?
H
integral.sm (5.38 KiB) downloaded 701 time(s).
#2 Posted: 8/13/2019 1:33:32 AM
Hi. It's because the integral it's a numerical procedure, and maybe not a very robust one. So, like any numerical method, if it don't work, just use another.
integral.sm (13.76 KiB) downloaded 737 time(s).
Best regards.
Alvaro.
integral.sm (13.76 KiB) downloaded 737 time(s).
Best regards.
Alvaro.
#3 Posted: 8/13/2019 5:04:21 AM
Hakelm,
I opened your file and the results were correct. Therefore I believe that the parameter for the accuracy of the integrals in your SMath installation is not correctly set.
Try to change Tools->Options->Calculation->Integral Accuracy
For example, write 1000
However, Alvaro's considerations must be kept in mind
sergio
I opened your file and the results were correct. Therefore I believe that the parameter for the accuracy of the integrals in your SMath installation is not correctly set.
Try to change Tools->Options->Calculation->Integral Accuracy
For example, write 1000
However, Alvaro's considerations must be kept in mind
sergio
#4 Posted: 8/13/2019 6:50:17 AM
Many thanks for two very good answers!
Now I know that Smath doesn't know even the simplest of integrals but that approximation accuracy can be improved upon.
Even if I understand my system doesn't (SMathStudioDesktop.0_99_7109.Mono on Ubuntu 16.04).
It can't find the function Rkadapt.
I guess that the Runge-Kutta functions are to be found i some plugin. Where can I find that?
H
Now I know that Smath doesn't know even the simplest of integrals but that approximation accuracy can be improved upon.
Even if I understand my system doesn't (SMathStudioDesktop.0_99_7109.Mono on Ubuntu 16.04).
It can't find the function Rkadapt.
I guess that the Runge-Kutta functions are to be found i some plugin. Where can I find that?
H
#5 Posted: 8/13/2019 8:44:46 AM
WroteI guess that the Runge-Kutta functions are to be found i some plugin. Where can I find that?
ODE Solvers.
Russia ☭ forever, Viacheslav N. Mezentsev
#6 Posted: 8/13/2019 10:35:06 AM
WroteIs there a problem with the integral function or is there something I haven't grasped?
The Simpson integrator ranges from exact to freak.
In your examples, increase the integral accuracy from
menu, options, calculations, integral accuracy [max 10000]
Wise to sanity Wolfram Alpha cost is 0.00 $
integral.sm (46.96 KiB) downloaded 715 time(s).
#7 Posted: 8/14/2019 10:19:49 AM
May I assume that the SMath-integral is made using Simpson's rule and that the integral accuracy [max 10000] is the number of steps taken by Simpson?
H
H
#8 Posted: 8/14/2019 11:14:29 AM
WroteMay I assume that the SMath-integral is made using Simpson's rule and that the integral accuracy [max 10000] is the number of steps taken by Simpson?
Quite right: The Smath integrator is Simpson.
Ranged accuracy [50 ... 10000]. Trivial cases are exact.
Two more exact cases are know 1/x [ln(x), b_spline].
On long range of the variate 'x' the Simpson/Romberg kernel
gives a much better result than simple Simpson.
Carlos adaptive algorithm is fool proof all cases.
You want these two proposed ... reply YES/NO.
Jean
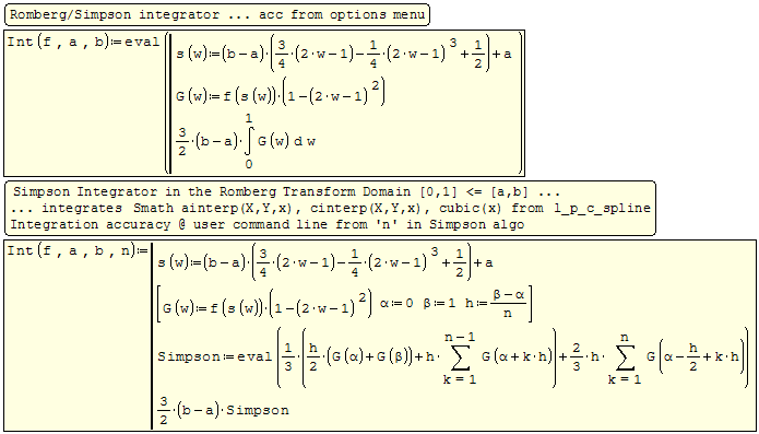
#10 Posted: 8/14/2019 7:07:51 PM
As you can see, Romberg has the virtue of reducing the range of integration
in the [0 ... 1 ] domain. In two versions directly associated with the
Smath native Simpson integrator or Simpson algo style, thus integration
accuracy 'n' @ the user command line.
These two documents are like minimalist tool box.
Jean

Integrate Compendium_1 Romberg_FD_Adaptive [Carlos].sm (142.88 KiB) downloaded 629 time(s).
Integrate Compendium_21 Simpson-Romberg Merit.sm (138.06 KiB) downloaded 717 time(s).
in the [0 ... 1 ] domain. In two versions directly associated with the
Smath native Simpson integrator or Simpson algo style, thus integration
accuracy 'n' @ the user command line.
These two documents are like minimalist tool box.
Jean
Integrate Compendium_1 Romberg_FD_Adaptive [Carlos].sm (142.88 KiB) downloaded 629 time(s).
Integrate Compendium_21 Simpson-Romberg Merit.sm (138.06 KiB) downloaded 717 time(s).
1 Pages (10 items)
- New Posts
- No New Posts