1 Pages (7 items)
Solve. - Systems of Equations - Messages
#1 Posted: 11/11/2016 3:20:35 PM
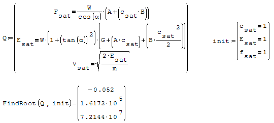
I've done this before, but I can't figure out what I've done wrong here. I have another sheet that I use regularly and it's set up very similar, but this one just won't Solve.
Any help would be appreciated.Trailer and Crush Energy.sm (18.07 KiB) downloaded 807 time(s).
Any help would be appreciated.Trailer and Crush Energy.sm (18.07 KiB) downloaded 807 time(s).
#2 Posted: 11/11/2016 4:10:29 PM
#4 Posted: 11/14/2016 1:05:37 PM
That's great. Thank you very much. I've got it up and working, but I'm having a disconnect on my units. The answers are correct as per my hand calcs, but they don't come out with units attached. If I click in and just add my units, it converts to the correct number, but the units are not correct. I went through and did a unit analysis, and I can't find anything wrong. Also the answers and units come out correct when I used Solve and Assign.
#5 Posted: 11/14/2016 1:07:13 PM
#7 Posted: 11/14/2016 1:40:16 PM
Perfect! Thank you all for the help.
1 Pages (7 items)
- New Posts
- No New Posts

![2016-11-14 17_21_04-SMath Studio 0.98.6128 - [Traile and Crush Energy.sm_].png](/en-US/files/Download/L6bDCZ/2016-11-14-17_21_04-SMath-Studio-0.98.6128---[Traile-and-Crush-Energy.sm_].png)