NonlinearSolvers plugin - BDQRF, Bisection, Brent's, Broyden's, Newton-Raphson, Ridder's, Secant, Homotopy - Messages
#161 Posted: 3/9/2014 2:39:32 PM
Wrotepassword for the Nonlinear Solvers plugin?
http://en.smath.info/forum/yaf_postsm10204_NonlinearSolvers-plugin--root-finding-methods--BETA-optimization-algorithms.aspx#post10204
Martin KraskaPre-configured portable distribution of SMath Studio: https://en.smath.info/wiki/SMath%20with%20Plugins.ashx
2 users liked this post
#162 Posted: 3/10/2014 6:40:36 AM
plugin's password added in the first post.
Best regards,
Davide
Best regards,
Davide
If you like my plugins please consider to support the program buying a license; for personal contributions to me: paypal.me/dcprojects
#163 Posted: 8/31/2014 2:05:55 PM
WroteThank you Martin,
you are right, I'll try to fix it...
This seems to be a matter of the perturbation size.
Jacobian.CD.sm (14.92 KiB) downloaded 929 time(s).
Martin KraskaPre-configured portable distribution of SMath Studio: https://en.smath.info/wiki/SMath%20with%20Plugins.ashx
1 users liked this post
Davide Carpi 9/1/2014 3:14:00 AM
#164 Posted: 3/3/2016 3:03:51 PM
PLUGIN UPDATED SMath Studio 0.97.5346, SMath Studio 0.97.5737, SMath Studio 0.98
- Unknowns() now can be used inside functions (will returns 0 if no unknowns are found, instead of an error message);
- version numbering switched to 1.1.* to made easier to publish updates for different SS versions (next milestone: 1.2.*);
- password no longer required for those SS versions;
- Unknowns() now can be used inside functions (will returns 0 if no unknowns are found, instead of an error message);
- version numbering switched to 1.1.* to made easier to publish updates for different SS versions (next milestone: 1.2.*);
- password no longer required for those SS versions;
If you like my plugins please consider to support the program buying a license; for personal contributions to me: paypal.me/dcprojects
2 users liked this post
#165 Posted: 4/7/2016 3:45:39 PM
Hello Davide,
I am somewhat confused why FindRoot() cannot solve this equation. Am I doing something incorrectly?
It works just fine for some other equations..
Thanks!

FindRootCannotSolve.sm (4.59 KiB) downloaded 868 time(s).
I am somewhat confused why FindRoot() cannot solve this equation. Am I doing something incorrectly?
It works just fine for some other equations..
Thanks!

FindRootCannotSolve.sm (4.59 KiB) downloaded 868 time(s).
#166 Posted: 4/7/2016 4:10:06 PM
#167 Posted: 4/7/2016 4:18:09 PM
Hello,
It works for me. The same was mentioned some time ago here. It seems that some plugin is making trouble. I do not know which one.

Regards,
Radovan
It works for me. The same was mentioned some time ago here. It seems that some plugin is making trouble. I do not know which one.
Regards,
Radovan
When Sisyphus climbed to the top of a hill, they said: "Wrong boulder!"
#168 Posted: 4/7/2016 5:03:40 PM
Omorr, Davide:
- Uninstalling Maxima plugin did nothing
- Clean install of stable 0.98 SMath Studio solved the issue. Now I just need to find what other plugin is wreaking havoc there..
Thank you
- Uninstalling Maxima plugin did nothing
- Clean install of stable 0.98 SMath Studio solved the issue. Now I just need to find what other plugin is wreaking havoc there..
Thank you
1 users liked this post
Oscar Campo 4/7/2016 6:28:00 PM
#169 Posted: 4/7/2016 10:57:46 PM
#170 Posted: 4/7/2016 11:01:10 PM
... the other point is that Smathh is too granular to
reveal the Gaussian part of the function.
reveal the Gaussian part of the function.
#171 Posted: 4/7/2016 11:16:56 PM
WroteMaths are unitless, therefore plot first the generatrix
to discover the function has no root(s). If you fabricate
with a unit system, you will have no plot. That's what I
call "invisible project"
You make a wrong point here. You prefer to avoid using units in your sheets, and that's your right; but declaring that units are inappropriate (as you do now and again) is spreading FUD. Using units is a great feature of SMath (that is optional, so that you may choose to work as you like), but your unawareness of ways to take advantage from using units while keeping ability to, e.g., plotting, doesn't mean that it's good to state such bold claims (insted, you could simply create a new thread in "Questions" and ask others how to plot while using units).

Second, the function itself doesn't have roots, but original poster looked not for equation f(x)=0, but for f(x)=n, which is f(x)-n=0.
Third, you mistakingly put square for pi (it was meant for seconds, not for pi - if you used units, you would katch this, because the result would arrive in s*Pa).
С уважением,
Михаил Каганский
#172 Posted: 4/7/2016 11:54:08 PM
#173 Posted: 4/8/2016 12:13:20 AM
Maths are unitless, end of it.
It would be fine in Smath if units would be decoration
but it's not in Smath 5346. From what Andery replied to
me, new versions have decoration style like Mathcad 11.
What do you put as units in Fourier, Laplace ...
In the Legendre Quadraature [Reconciliation] just posted
What's the unit of the cumulative integral ?
Answer: user "UnitGraphic".
So, we live it here.
Cheers, Jean
It would be fine in Smath if units would be decoration
but it's not in Smath 5346. From what Andery replied to
me, new versions have decoration style like Mathcad 11.
What do you put as units in Fourier, Laplace ...
In the Legendre Quadraature [Reconciliation] just posted
What's the unit of the cumulative integral ?
Answer: user "UnitGraphic".
So, we live it here.
Cheers, Jean
#174 Posted: 4/8/2016 12:30:31 AM
Please, don't multiply the offtopic here.
http://twt.mpei.ac.ru/ochkov/Unit_MC_MP/Unit_MC_MP_eng.htm
WroteMaths are unitless, end of it.
http://twt.mpei.ac.ru/ochkov/Unit_MC_MP/Unit_MC_MP_eng.htm
С уважением,
Михаил Каганский
#175 Posted: 4/8/2016 5:32:00 PM
WroteMaths are unitless, end of it.
Jean,
You tried really hard on the Mathcad forums to preach the same thing and was a huge detractor to your work ... which is quality collaboration and maths.
Now, your preaching about graphing ... that is something worth "harping" on!
#176 Posted: 4/9/2016 1:31:42 AM
Quite right, the debate lasted for a while in the Mathsoft Collaboratory.
I defeated my detractors twice and for ever in this Colaboratory:
1. I put units in the Reynolds number [unitless] but got result that
none could decipher, even Mathsoft.
2. Doing some Plank physics, same thing: not decipherable.
The best was that no collab [to my recollection] posted advanced problems
with units. Use units in your profit but make sure you check unitless.
Units system is for personal use at arithmetic maths level.
Cheers, Jean
I defeated my detractors twice and for ever in this Colaboratory:
1. I put units in the Reynolds number [unitless] but got result that
none could decipher, even Mathsoft.
2. Doing some Plank physics, same thing: not decipherable.
The best was that no collab [to my recollection] posted advanced problems
with units. Use units in your profit but make sure you check unitless.
Units system is for personal use at arithmetic maths level.
Cheers, Jean
#177 Posted: 9/9/2016 4:41:23 PM
#178 Posted: 9/9/2016 5:39:24 PM
#179 Posted: 9/9/2016 6:54:26 PM
#180 Posted: 9/9/2016 8:15:05 PM
Wrote
You assigned a wrong value for the 2nd argument, "2:variable".
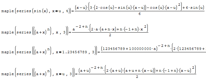
Hm, don't understand. For univariate expressions, the second argument is the development point.
For multivariate expressions, I would expect that I have to specify the independent variable and the development point.
In Maxima (not working in newer versions of SMath) it looks like this:
With your Taylor, I have this:

Sorry, I don't understand the result.

Analysis.sm (28.83 KiB) downloaded 901 time(s).
Martin KraskaPre-configured portable distribution of SMath Studio: https://en.smath.info/wiki/SMath%20with%20Plugins.ashx
- New Posts
- No New Posts
![2016-04-07 21_01_04-SMath Studio Desktop - [FindRootCannotSolve.sm_].png](/en-US/files/Download/228Q7e/2016-04-07-21_01_04-SMath-Studio-Desktop---[FindRootCannotSolve.sm_].png)


