Maxima Plugin - Messages
Wrotemhhhh.... Can see just error messages...
This looks like you have tried the VTK interface in the same Maxima session (SMath instance). In order to revert to gnuplot interface for Draw you might restart Maxima using MaximaControl("restart" ) or open the update message in a virgin SMath instance.
WroteVery interesting
![]()
Of course, it is a bit unstable at the moment. Sometimes strange things happen. The part of the notebook moves into the Draw2D(), Draw3D() region and scrolling is inside that region. SMath crashes then. I can not reproduce this at the moment, sorry.
Thanks, Radovan, filed as SS-188.
WroteThis looks like you have tried the VTK interface in the same Maxima session (SMath instance). In order to revert to gnuplot interface for Draw you might restart Maxima using MaximaControl("restart" ) or open the update message in a virgin SMath instance.
I've simply opened you attachment (no further SMath instances running)
MaximaControl("restart") doesn't help
I attach the log.
Best regards,
Davide
Maxima.txt (3.54 KiB) downloaded 865 time(s).
Wrote
MaximaControl("restart") doesn't help![]()
I attach the log.
Testing was done using the portable distribution (Maxima 5.33.0), updated to the current SMath release candidate.
The log shows that you are using Maxima 5.31.1-1.
Update of the portable distribution is straightforward: Just take the SMath linux tarball and copy it's contents to the install dir of the portable distribution.
thank you,
Davide
I am wondering if this maxima example could work on smath maxima ?
http://www.vttoth.com/CMS/projects/61-the-maxima-computer-algebra-system
Regards
WroteHi,
I am wondering if this maxima example could work on smath maxima ?
http://www.vttoth.com/CMS/projects/61-the-maxima-computer-algebra-system
Regards
I just gave it a try, see the result in the attachment. The packages seem to load despite the odd error message, probably due to a output parsing problem in the plugin.
The plugin, however, is not to blame for the failure of the icurvature command. It is correctly translated (had to use capital E in order to avoid translation into %e).
I used recent SMath studio and Maxima 5.33.0 as in the portable distribution.
If tensor stuff with co- and contravariant indices would work, one could think of providing a nice operator form via functions extensions. But it might be hard to tell these indices from ordinary matrix indices, subscipts or just exponents.
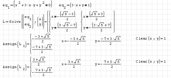
Does current implementation of maxima "Solve" function permit solving of system of equations (linear or non linear)?
If not, what command may I use?
Thank you!
WroteHello, mkraska, got a question for you.
Does current implementation of maxima "Solve" function permit solving of system of equations (linear or non linear)?
If not, what command may I use?
Thank you!
Yes, this should normally work. There is an example in the Solve() handbook page, see [?]> Function index> S> Solve()
Quote---------------------------
Cannot find maxima.bat
Cannot find maxima.bat. Do you want to enter a start search path now?
Yes No
---------------------------
in "Path to Maxima" it says "...Program Files (x86)\Maxima-5.30.0\bin\maxima.bat" which is correct.
if I push "Select Folder" and navigate to that same folder again it says Starting Maxima and then
Quote---------------------------
Path to Maxima
Found "..\Maxima-5.30.0\bin\maxima.bat".
OK
---------------------------
then if I recalculate the page it works. Then if I restart Smath, it asks for the path again.
Wrote(btw when I hit "thank you" button here in the forum I get an error).
Me too.
WroteI recommend to use the pre-configured portable version (see signature)
Well I already have Maxima installed, I can't just use the existing installation?
WroteWell I already have Maxima installed, I can't just use the existing installation?
I can reproduce the problem. It happens because the settings window sometimes replaces the path to maxima by a relative one (as required for a portable version). For the desktop version this is a bug. Nonetheless you can enforce the correct absolute path to maxima by either correcting the entry in the settings window or by directly editing maxima.xml in the extensions directory structure.
If I remember correctly, Maxima version 5.30.0 had problems with the draw package.
Wroteby either correcting the entry in the settings window
Next time I open the settings window it's back to the relative path, though.
Quoteor by directly editing maxima.xml in the extensions directory structure.
Where is that? I can't find it.
QuoteIf I remember correctly, Maxima version 5.30.0 had problems with the draw package.
They just released maxima-5.34.1 so I'm on that now.
~\AppData\Roaming\SMath\extensions\plugins\44011c1e-5d0d-4533-8e68-e32b5badce41\maxima.xml
and changed it to:
- new option key_pos for placement of the legend
- support of more line styles for svg image format
In fact it is loaded (it appears the loading bar ), but when I run the commands I get the message "Cannot start maxima ...".
Has anyone tried and confirmed?
sergio
WIN7 64 bit
SMath Studio Desktop 0.97 build 5581
- New Posts
- No New Posts
